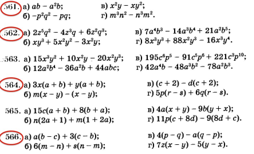
Примеры на вынесение общего множителя
Новости молдова невс
Я ненавижу свет однообразных
Super hero песня
Схема предложения небо уже потемнело
I prepare перевод
25 октября праздник православный 2025 г
Как снять двигатель 2107 инжектор
Carcam endo
Hb кабель
Решетка кардана
Стеллаж 1200 2000
Прожиточный минимум пенсионера в тюмени на 2025
Very very cheap 1 pound fish
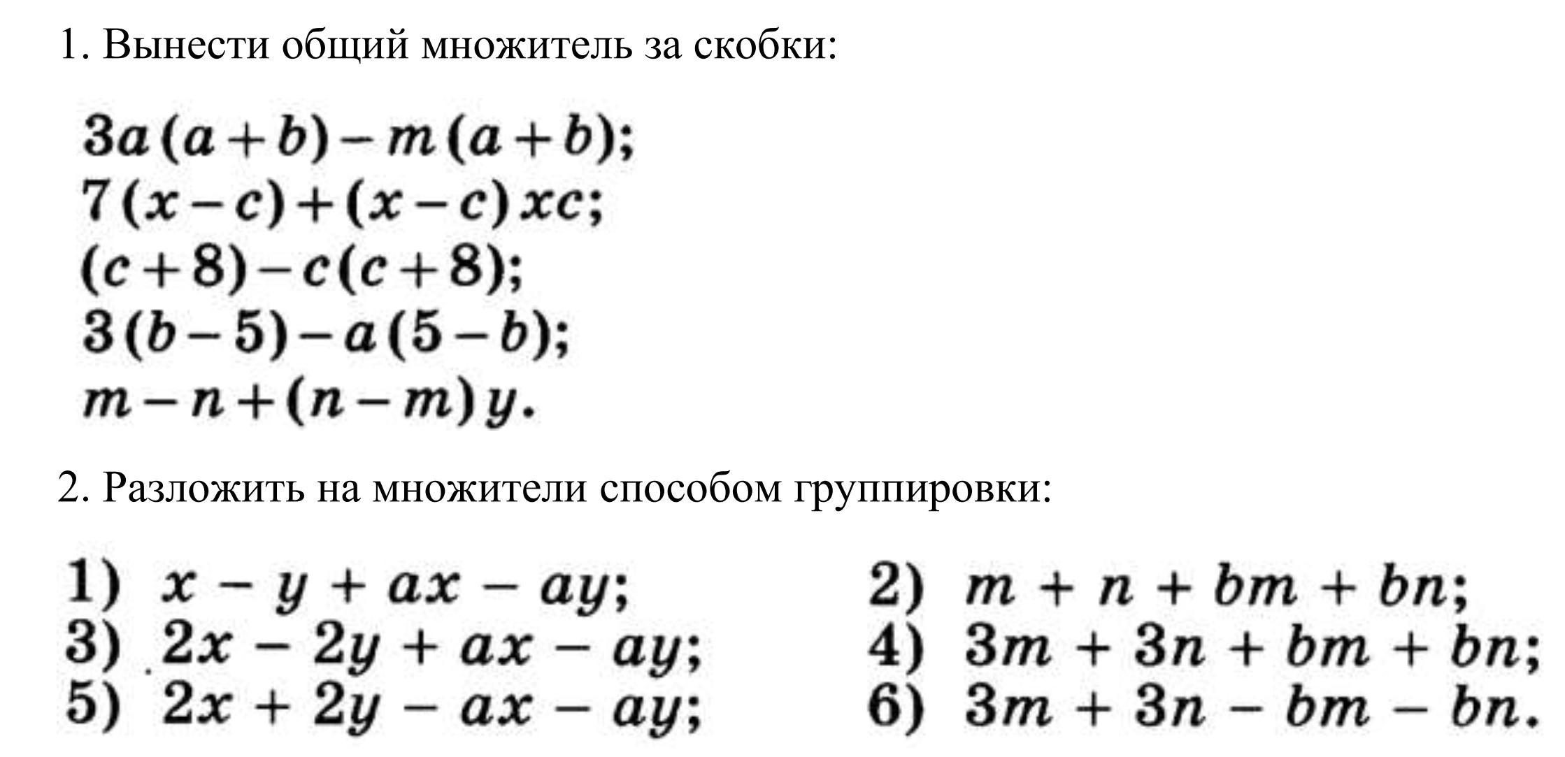
Примеры на вынесение общего множителя 104 фото






































































































