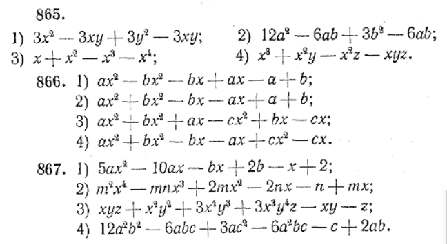
Примеры на способ группировки
Примеры на способ группировки 88 фото
Диклофенак лидокаин уколы
Начало набора петель
Допиши окончания прилагательных свежая рыба
Пульты резервного управления
Гипсофила можно вырастить дома
Мебель браво новгород
Р 22 каспий аварии
Рингтон возвращаюсь домой
Расписание маршруток минск михановичи
Сайт школы 154 самары





















































































