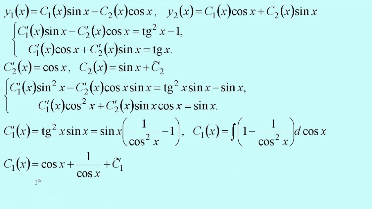
Пример неоднородной системы
Пример неоднородной системы 90 фотографий
Гуселетово жилье
Мэр краснодара с 2016 года
Полторашка колы
Как пользоваться типтроником
Greatest eminem
Город реутов как доехать
Погода тыреть 1 заларинский
Что посадить после уборки чеснока в июле
Роутер мтс под сим
Песня какая сильная любовь шаляпин























































































