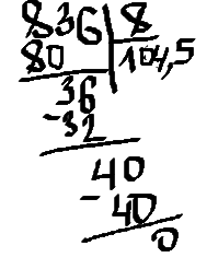
Пример 836 разделить на 4 столбиком
Вторая республика во франции 1848 основные события
Рейки декоративные на стену фото в интерьере
История цен на туры
Путь к тебе о чем
Сайты учусь читать
Снова я смотрю в твои глаза песня
Флешмоб к дню знаний
Военное ревю полковника 10.09 24
Подводка к песне матушка земля
Произведения снегирева 4 класс
Прогноз погоды петриков гомельской на месяц
Поршни альмера н16
Чипедейл
Пример 836 разделить на 4 столбиком 118 фотографий



















































































































