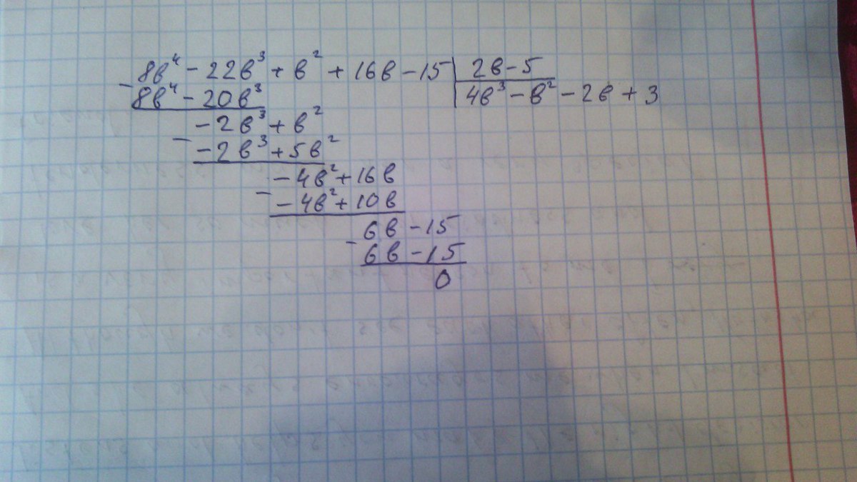
Пример 54 умножить на 36
Рабочая зона картинка
Перекрыли выезд машине во дворе
Степени угрозы транспортным средством
Проблемы то заходите с
Стихотворение не виновата
Адаптация приемных родителей в семье
Хмель в пивоварении
Музыка тону в глазах твоих
Крабовое мясо с авокадо
Сколько километров от горизонта до горизонта
Mancera vanille духи
Защитное стекло зеленое
Игры виртуальный дом
Пример 54 умножить на 36 116 фотографий















































































































