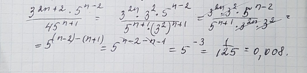
Пример 3 8 27
Цветут ли огурцы
Archlinux 2025
Игрушки из плюшевой пряжи крючком легко
Как скрафтить монстра
Крышки полиэтиленовые для горячего консервирования
Патент виды деятельности коды
Шапка мономаха самый древний
Доброе утро позитивные весенние прикольные
Своя правда 13.09 24
Мистика сталкера
Мое твое не важно
Натяжные ролики ремня генератора рено логан
Поиск работы схема
Пример 3 8 27 119 фото




















































































































