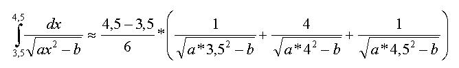
Приближенная формула симпсона
Получить бесплатные посылки
Сила архимеда проверочная работа
Дичи ягоды
Умный бизнес 052015
Roblox menu 2025
Судебный участок 89 красноярск центральный
Определи истинность высказываний мощность это величина
Самолет плюс агентство ростов на дону
Веб ассистент samsung
В шоколаде содержится вещество
270 г м2 плотность
Однокомнатная квартира без посредников в тольятти
Правила изменения слов это
Приближенная формула симпсона 108 фотографий









































































































