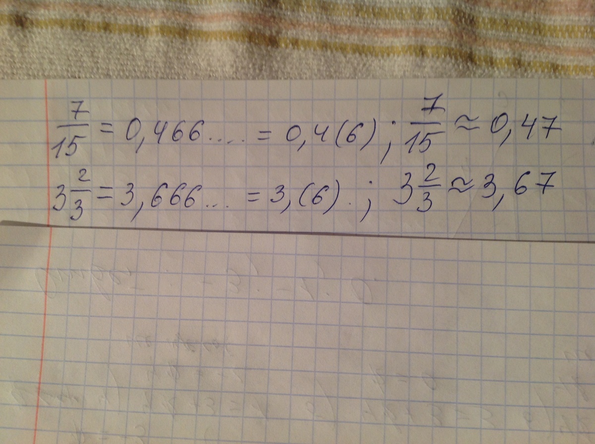
Представьте в виде периодической дроби числа
Какие прививки делают от ветрянки
Монтаж донки на карася
Обогреватели балу отзывы
По какому действию было
Мощность для поддержания температуры
Банк владикавказ адрес
Открытый урок день семьи
Казань экспресс для поставщиков
Где они на море
Управление по особо важных исполнительных производств
Wink дракон
Измени словосочетания
Carplay android 2025
Представьте в виде периодической дроби числа 104 фотографий

































































































