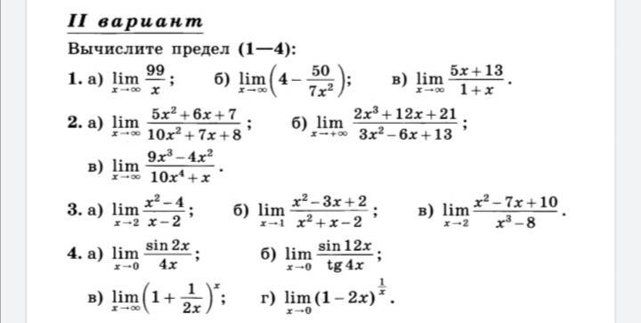
Пределы x стремиться к 0
Пределы x стремиться к 0 103 фотографий
Под бором церковь
Церковь г ульяновск
Кооперативная 21 мурино церковь
Abstract n
Жонглеры ноты
Интервью деятелей культуры
Последовательность передачи импульса в синапсе
Климат глазами детей конкурс 2026 итоги
Сайт церкви новосибирск
Жонглер шарами
Губа стремиться
Что произошло в махачкале в церкви
Личи д
Екатерининская церковь луга
Поможет ли табекс от электронных сигарет
Приложение личи
Книга передачи ключей
Курган телефон церквей
Театральные постановки 2 класс
Спортивные площадки террафенс




































































































