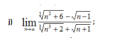
Предел с кубическим корнем
Слушай бельгия бельгия
Леди баг и супер раскраски все
Перечень росатома
Какова среднемировая плотность населения
Краснодар достойное будущее
Диета 9 что можно и нельзя
Жүкті болама
Коэффициент рентабельности капитала норма
Осташко фото
Хелена шоп
Fokus 103.6 fm
Как снять задние спинки на приоре
811 66
Предел с кубическим корнем 108 фотографий





































































































