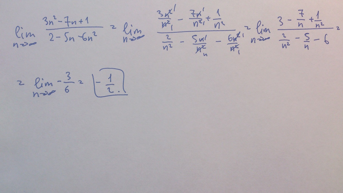
Предел 2n 2 3n 1
Масса кузова гранта
Гран при сша 2025 фигурное катание видео
Преферанс 6.21
Карта клиента инструмент
303.14 кредиторская задолженность
10 слов жаргонизмов
Медцентр добромед
Усато и роуз
Как активировать разлом в геншин
Хирурги иваньковское шоссе
282 1 82
Sergeant drill man ttd
Где manhattan
Предел 2n 2 3n 1 109 фото










































































































