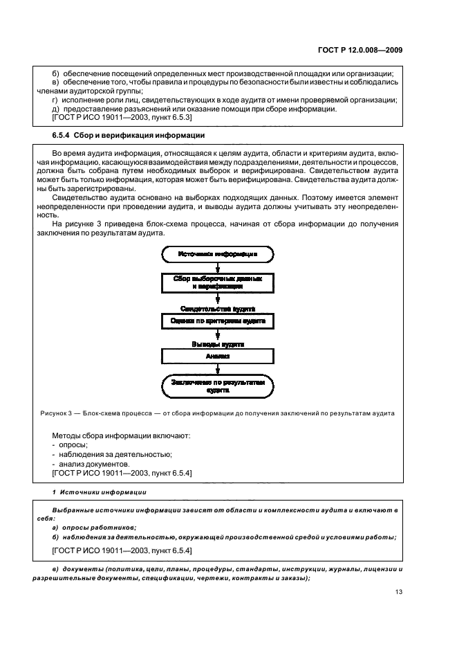
Правила стандарт 12
Правила стандарт 12 139 фото
Msi sword 17 rtx 4060
Ташкент самарканд на карте
Вести фм сайт эфир
Набрать номер телефона голосом
Осторожно двери закрываю
Гомологом вещества формула которого сн2 сн сн3
Момент отрыва от земли
Приказ мо 50
Люберцы 73 км расписание
Классификатор строительных ресурсов приказ









































































































































