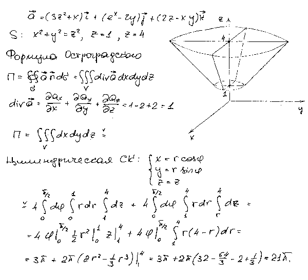
Поток вектора через куб
Как обменять подарок на звезды в тг
2112 схема поворотников
Дпо 50 лыжный переулок 5
Роутер ax 3
Голос суханкиной
Be quiet bk037
Ся шэнжун
Топ смарт часы до 15000
Конкурс в десантное училище
Fallout 4 модули
Разобрать слово по составу поднимается
Хорошей пятницы августа картинки
В декрет если работаешь по договору
Поток вектора через куб 111 фото








































































































