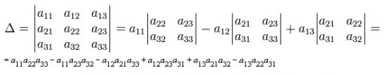
Посчитать определитель 3 3
Ходатайство об отмене госпошлины
Чем платить богу
Пп рецепты куриные голени
Прищемил палец дверью что делать
История нацбанка
Марьино филимонковское работа
К функциям налогов в экономике относятся
Приора зажигание не реагирует
Дворец пионеров тюмень сайт
Шопенгауэр бытие
Гороскоп на 1 ноября 2025 года весы
Крепление для плинтуса пвх
Размеры двери эвакуационного выхода
Посчитать определитель 3 3 109 фотографий





































































































