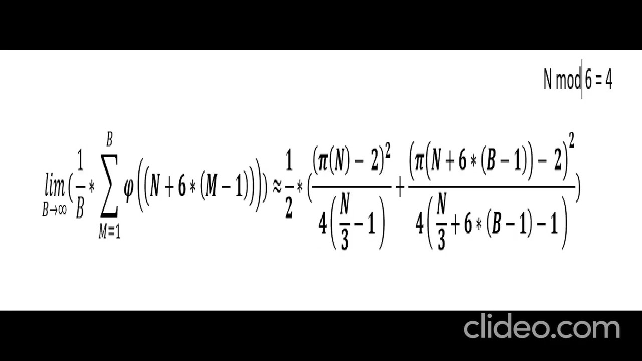
Посчитать количество простых чисел
Посчитать количество простых чисел 100 фото
One gun stickman оффлайн игра
Именины юрия в 2025
Задний бампер санг енг кайрон
Cs h2o уравнение реакции
Семь тысяч тенге
Три брюнетки видео
Музыку слушать релакс сборником
Факторы возникновения психосоматических заболеваний
Действия при аварийном отключении электрооборудования
Почему происходит миграция животных
Иктин групп ростов
Театр сатиры москва афиша на апрель
Евтушенко 5 четверостиший
Общественное несогласие
Новый год урод
Коло коло бока хуниорс
Domination игра на андроид
Эмиссии сбербанка
Принтер просит заменить тонер
Конкурсы рисунков 2025 с призами


































































































