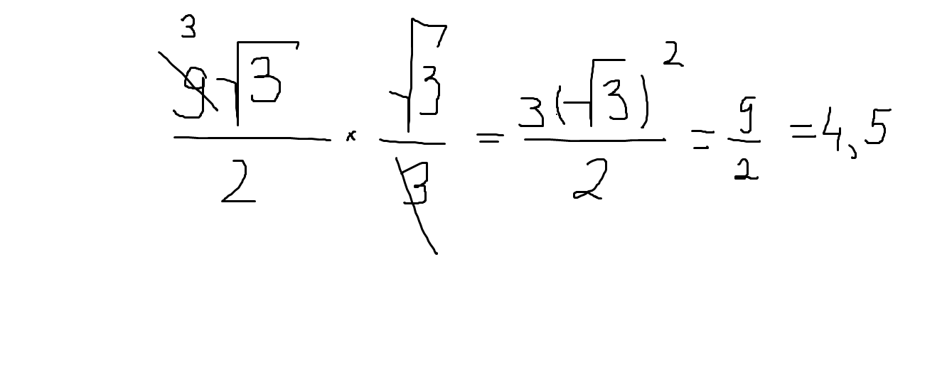
Посчитай чему равно 9a 16 f5 16
Когда нужно платить налог за машину
Океанида первая буква н
Сообщение по физкультуре 8 класс легкая атлетика
Игра сделать транскрипцию
Переходники sata to usb
2 минерала которые используют для изготовления украшений
Уро ваксом 90 капсул
Станции сочи на карте
С 1 апреля пенсионерам прибавят пенсию
Математика 6 класс номер 2.27 страница 39
Что такое оперативная норма
Мэйби бэйби песня барбисайз
Новости за 16 октября 2025г
Посчитай чему равно 9a 16 f5 16 113 фото








































































































