Понятие степени
Александр ИвановЕще одно важное событие в деле изучения школьной математики случается обычно в шестом классе - появляется понятие степени. Сначала, конечно, обсуждают понятие степени с натуральным показателем, дальше договариваются как поступать в ситуации, когда в показателе степени число ноль, потом что делать, если в показателе степени отрицательные числа. Все договоренности (определения), а также правила работы со степенями, укладываются в несколько строчек.
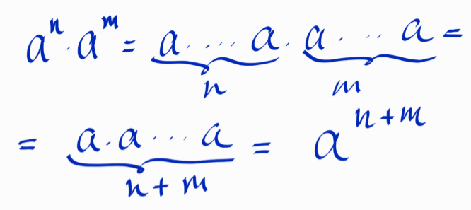
Итак, сначала договорились, что:

Из договоренности (НЕ ИЗ ВОЗДУХА) сразу появились два правила:


Добавили еще пару договоренностей:

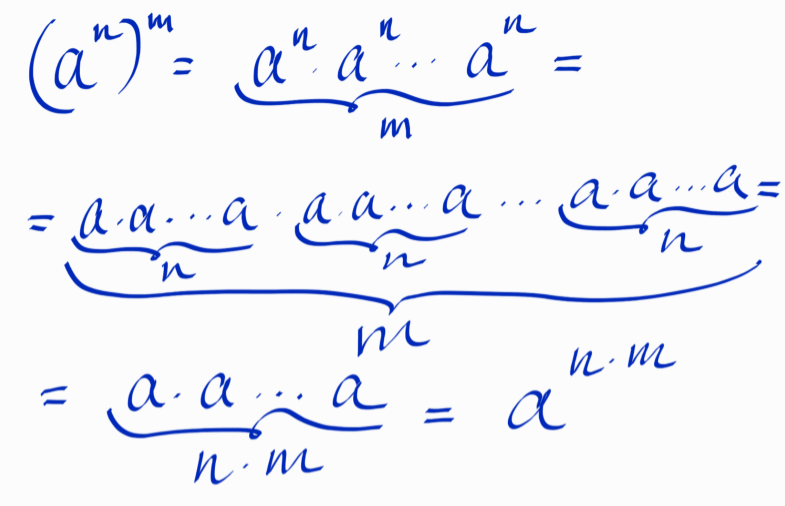
Откуда получили, с учетом первого правила, еще одно:

Возникает вопрос. Как умудряются ученики 10 и 11 класса НЕ РЕШАТЬ задания на основе такого небольшого (не хочется говорить скудного, чтобы не обижать математику) теоретического материала? Доля тех, кто допускает ошибки в заданиях вида «действия со степенями» может достигать 80%.
Ответ простой. Прошли в шестом классе и забыли. Правила не пытались осознать, а в лучшем случае пытались зубрить.