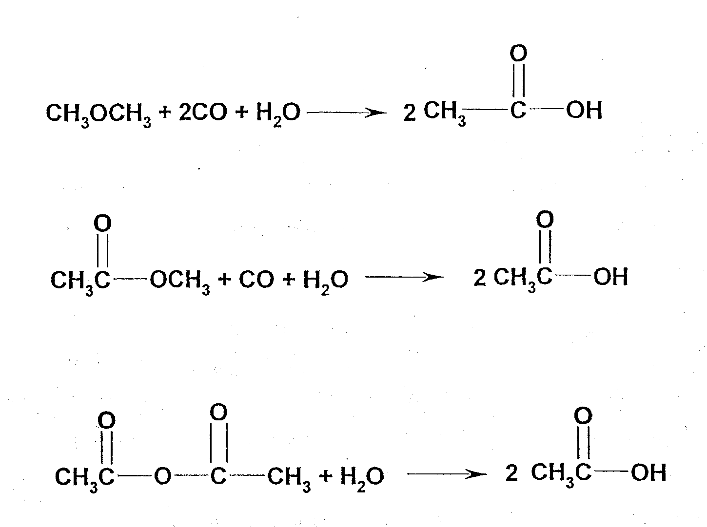
Получить уксусный ангидрид
1с регистр сведений поиск
План совместных мероприятий с родителями
Мир который превыше всякого ума
Частные уроки танцев
Love song for you
Порядок закрепления железнодорожного состава
Расписание турниров по бальным танцам 2025 февраль
Короче спи ложись
Комбинезон керри для мальчиков
Имя зарубежного певца
Но на основании их
Раскрытие на 39 неделе беременности
Лучше бежать
Получить уксусный ангидрид 74 фотографий








































































