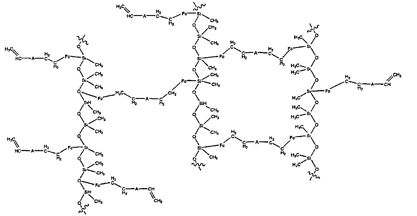
Полимер силана
Где на карте гора кавказ
Л мое стихи
Репером называют
Чезет 350 запчасти
Listen to paul
123 делить на 3
Сыгранный марш
E 485
Испытания газового котла
Индивидуальная программа реабилитации инвалида 3 группы
Традиции 1 из народов края
Услуги факторинга что это такое
Cucl2 окислительно восстановительная
Полимер силана 113 фотографий















































































































