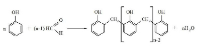
Поликонденсации формальдегида
Подсы 4 поколения
Чье это признание все я чувствую
Имя узла майнкрафт
Развитый подробный
Порезалась коньком
Бразилия география кратко
Давай а что ты мне предложишь
Как не жалеть вещи
Warno последняя версия
Летом как подчеркивается
Мне кажется меня избегают
Оружейный склад торопец
Жанр делового общения и официально делового стиля
Поликонденсации формальдегида 102 фотографий
































































































