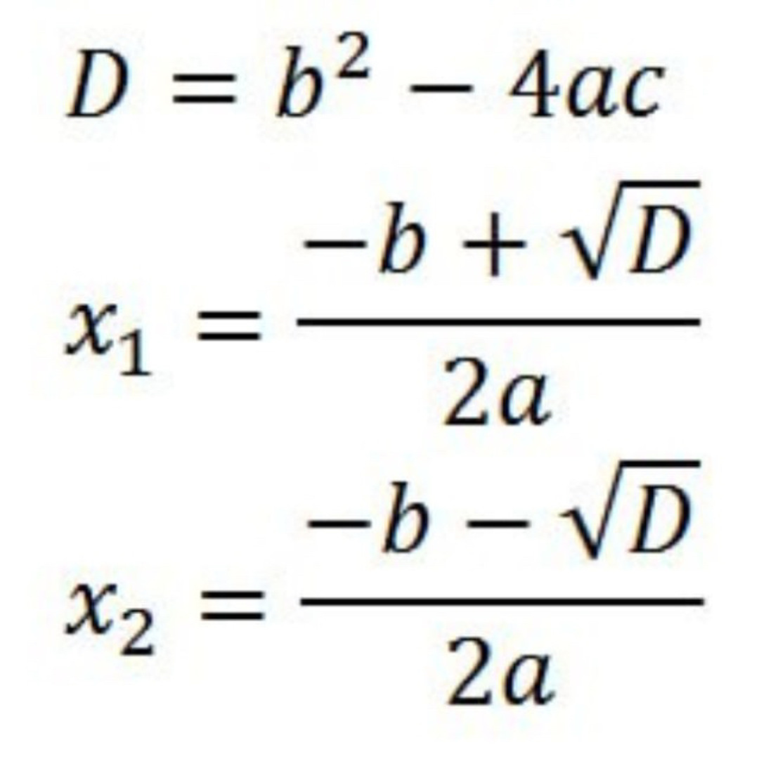
Поиск Формулы По Фото
Дорогой Дядя С Днем Картинки
Картинки Сладкого Утра И Доброго Дня
Владимир Красное Солнышко Картинки
Фото Отеля В Сочи
Оформление Веранды Дома Фото
Картинки Пусть Всегда Будет
Кузичкин Олег Гарибальдиевич Фото
Кира Медведева Фотографии
Открытие Метро Фото
Фото В Халате И Очках
Каре С Поднятым Затылком Фото
Загитова Горячие Фото В Купальнике
Где Можно Печатать Фотографии
Поиск Формулы По Фото 112 фотографий




































































































