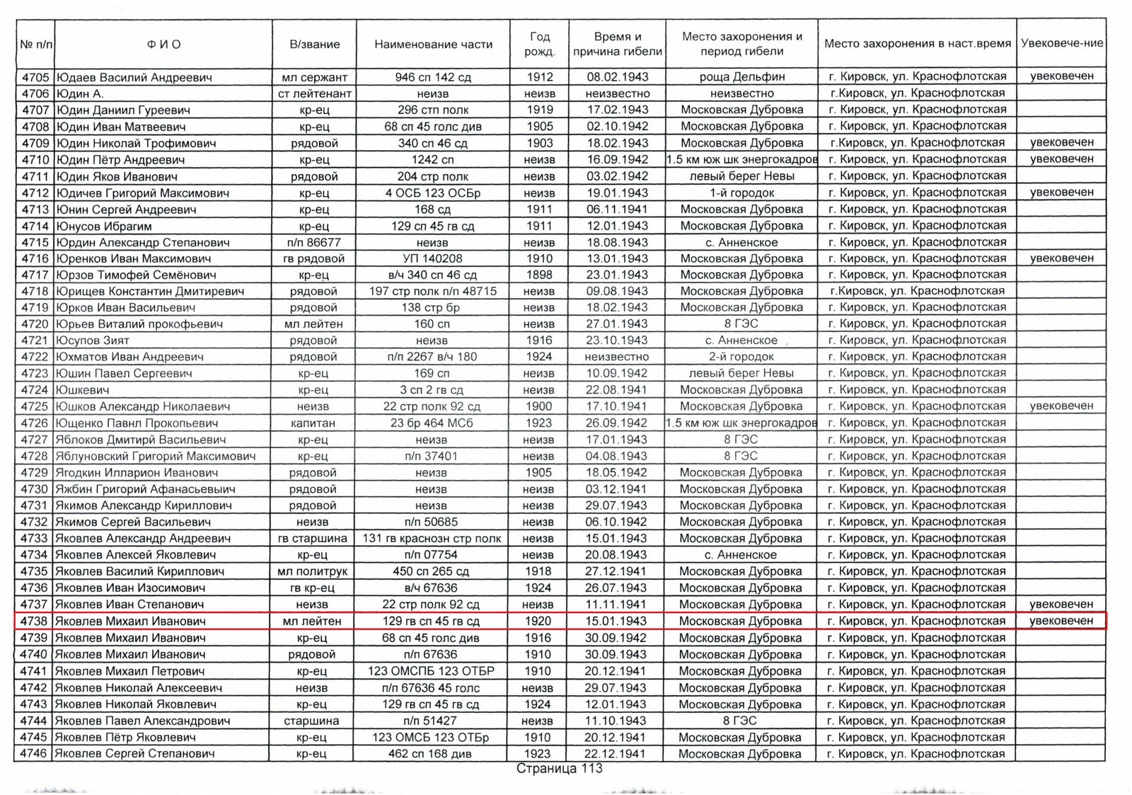
Поименным спискам захоронений
Тотема инструкция и отзывы
Время покажет 31 октября 2025
Что носить с трикотажным костюмом осенью
Затраты труда единица измерения
Багажник задний 20
Анекдоты про родила
Замещающий мотив
Как перенести слово внученька
Расписание автобусов 104 свободный верхняя
Договор о союзничестве
Температура засолки груздей
Все виды реакций в химии
Remer италия
Поименным спискам захоронений 129 фото






























































































































