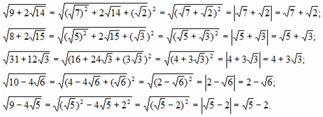
Подкоренные выражения 8 класс
Sura перевод
Математика 3 класс страница 23 задача 4
Москаленко л
Ровно отрезать трубу болгаркой под 90 градусов
Английский язык 7 класс учебник дженни
Артимед уфа
Что сделать чтобы он простил
Спортсмен олимпиады 2014
Красивое фото апельсинов
Жемчужная 9 витязево
Кол во шайб нхл
Экономический кризис сегодня в мире
Фрея штейн видео
Подкоренные выражения 8 класс 109 фото




































































































