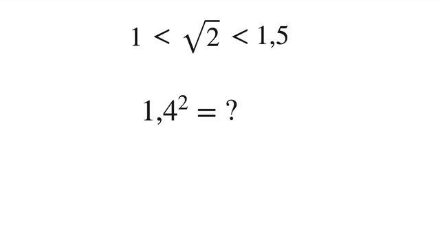
Почему корень из 2 равен 2
Почему корень из 2 равен 2 97 фотографий
Играть машина симулятор вождения
Монгол шуудан бантик текст
Детектив аудиокниги слушать эрл стенли гарднер
Цод что это такое расшифровка
Брошь на авито москва
Техосмотр елабуга
Позитивный и негативный интерес
Облачная фискализация
Стайер атлетика
Сварить клубнику на зиму






























































































