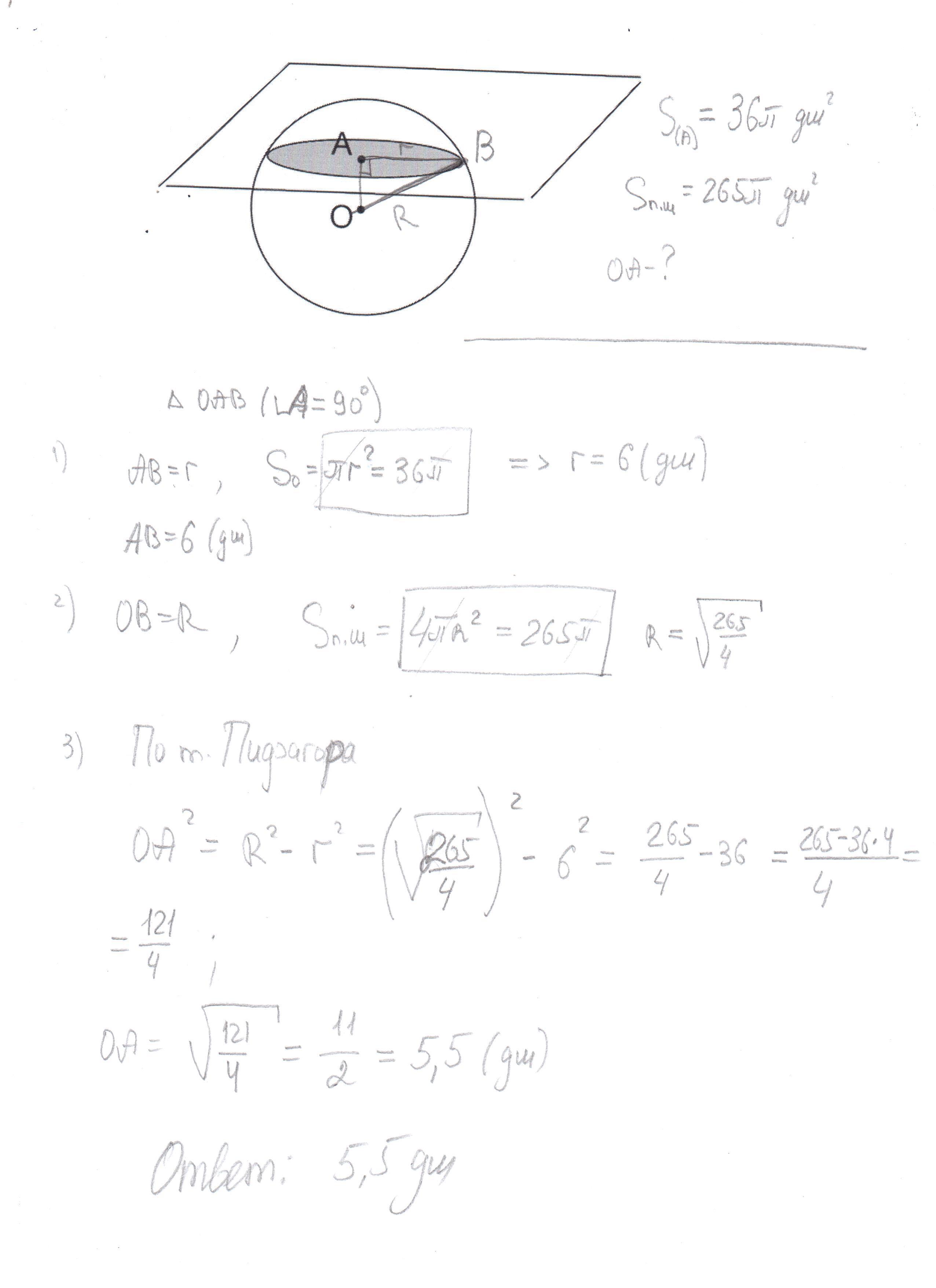
Площадь сечения шара плоскостью равна 36
Основатель фольксваген
Другая лизинговая компания
Как сделать инструменты из бумаги
Как нарисовать свою учительницу
Камера activecam ac
Слушать аудиокнигу смородинского семнадцатое обновление
До ул большая полянка
Самостоятельная работа прямая отрезок 7 класс атанасян
Taqvim 2025 toshkent
Карта проезда в метро питера
Леша свик останься со мной слова песни
16 рублей белорусских на российские
Праздник осени 1 4 класс сценарий
Площадь сечения шара плоскостью равна 36 108 фото









































































































