Пиролиз Стрептоцида

⚡ 👉🏻👉🏻👉🏻 ВСЯ ИНФОРМАЦИЯ ДОСТУПНА ЗДЕСЬ, КЛИКАЙ 👈🏻👈🏻👈🏻
Стрептоцид — инструкция, применение, аналог - Iealmed-Klinika .ru
mepeweketi: пиролиз стрептоцида
От чего помогает стрептоцид - Помощь онлайн - Здоровье Инфо
Технологии пиролиза, его продукты и дальнейшее применение
Лекция 12 Сульфаниламиды - Анализ лекарственных средств производных . . .
Пиролиз | New-Science .ru
Стрептоцид назначение - Рука Врача
Стрептоцид польза и вред — Здоровая печень
СТРЕПТОЦИД (Болезни)
Стрептоцид - Комаровский Форум
Мукофальк Вита
Олапариб Инструкция По Применению Цена Отзывы
Мирамистин Спрей Для Ран
Стрептоцид - инструкция по применению, аналоги, отзывы и формы выпуска (порошок, таблетки 300 мг и 500 мг, мазь 10%, растворимый линимент 5%) препарата для лечения прыщей, ангины и рожи у взрослых, детей и при беременности
пиролиз стрептоцида Tags: пиролиз, стрептоцида, пиролиз стрептоцида Автор: Unknown на 06:09 . Отправить по электронной . . .
healthyorgans .ru › organy-dykhaniya › lor › 19794-ot-chego-pomogaet-streptotsid-pomoshch-onlajn
Стрептоцид в форме линимента 5% содержит в своем составе 5 г стрептоцида, 3,1 г животного жира, 57,9 г известковой воды, 34 г рыбьего жира . Линимент реализуется в банках по 25 или 30 г .
Пиролиз — Википедия с видео // wiki 2 . Пиролиз отходов: технология и сравнительная характеристика
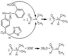
пиролиз - плав сине-фиолетового цвета с запахом аммиака и анилина . реакция с сульфатом меди не проводится (из-за слабых кислотных свойств стрептоцида устойчивого комплекса не образуется)
Пиролиз - это химическая реакция разложения органического тела под действием тепла и без других реагентов . Это превращение, в отличие от горения, в котором участвует окислитель, например, кислород, приводит к . . .
Стрептоцида таблетки (Streptocide tablets) Последняя актуализация описания производителем 31 .07 .1998 Сульфаниламид* (Sulfanilamide*) J01EB06 Сульфаниламид 1 таблетка содержит сульфаниламида 0,3 или 0,5 г; в упаковке 10 шт .
Свойства стрептоцида . Стрептоцид (сульфаниламид) используют в медицинской практике более 100 лет . Его полезные свойства были исследованы задолго до открытия антибиотиков .
Может у кого-нибудь есть опыт в использовании стрептоцида против ерошения чешуи . . .
Показать/скрыть навигацию Доктор Комаровский . Клуб; Видео; Форум; Вопросы; Книги; Статьи; О . . .
Что Эффективнее Мезима
Аналог Окуметила Дешевле Капли Для Глаз
Капли Ротокан
Форстео Отзывы О Препарате Пациентов
Траумель Мазь Для Чего Применяется
Церетон Таблетки Применение
Преднизолон Для Повышения
На Омыление 26 Грамм 3 Глицерина
Цефтриаксон Тошнота Форум
Селектра Отзывы Врачей Форум
Синвиск Аналоги Цена
Пентовит Витамины Для Волос Отзывы Роста
Лекарство Кальций Магний Калий
Тонзилгон Н Капли Инструкция По Применению Взрослым
Виброцил И Отривин Разница
Сабельник Википедия
Кетоконазол Побочные
Фолиевая Кислота Для Детей Инструкция По Применению
Тетрациклин Акос Мазь От Прыщей
Эбрантил Внутримышечно
Левомеколь После Прыща
Фенистил Капли Ребенку 8 Лет
Уколы Мовалис Показания
Фунгодерил Цена В Аптеках Краснодара
Применение Свечей Осарбон
Чистка Миндалин Аппаратом
Триптофан 200мг
Компливит Витамины Для Глаз Цена
Амбробене Стодаль
Коронавир Сколько Таблеток На Курс Лечения
Пентовит Для Чего Принимают Мужчины
Трулисити 0.5 1.5
Орвис Противопоказания
Аналог Мази Скин Кап
Кортеф В Интернете
Бады Для Укрепления Сосудов Кветрель
Пепидол Аналоги
Панкреатин Цена Кемерово
Помогает Ли Ибупрофен От Температуры Ребенку
Полисорб От Псориаза Отзывы
Что Лучше Энапа
Линдинет 20 Цена Вологда
Дивигель Схема Приема При Планировании Беременности
Натальсид Свечи При Анальной Трещине
Препарат Риниколд Инструкция По Применению
Серно Цинковая Мазь От Прыщей
Простаплант Инструкция
Урсосан Период Действия
Кокарнит Уколы Как Приготовить
Прокто Гливенол Свечи Или Релиф Что Лучше
Гидрокортизон 0 5 Цена
Иван Чай Кострома
Эликвис 5 Мг Цена В Туле
Энап H Инструкция По Применению
Нурофен Табл Цена
Полижинакс Цена В Аптеках
Рибофлавин В Каких Продуктах
Экзодерил Лосьон Инструкция
Лактинет Во Время
Новаринг Как Вставлять
Голдлайн Вес Возвращается
Ингалипт Спрей Для Горла Взрослым Отзывы
Хитозан Отзывы Цена В Аптеках
Фемостон 2 10 Российский Аналог
Гомеовокс Стоимость В Аптеках
Парацетамол Детский Суспензия Апельсин
Верошпирон Аналоги
Препарат Фиасп
Аналог Нексиум Дорогой
Мелоксикам Таблетки Форум
Глиатилин Длительность Курса Лечения
Телзап 80 Мг 30 Таблеток
Помогает Ли Гептрал При Печеночной Энцефалопатии
Бинелол Или Конкор
Элевит Виды
Энтерофурил От Поноса У Восьмидневных Новорожденных Щенков
Синвиск Уколы В Колени
Отривин Для Детей 2 Лет
Салицилово Цинковая Паста От Подкожных Прыщей
Урсосан Цена Ярославле
Финалгон Гель Отзывы Инструкция По Применению
Троксевазин Цена В Москве
Индола Флюид Для Секущихся Концов
Гонал Ф
Инъектран Уколы Цена В Белово
Глюконат Кальция При Орви И Гриппе
Энтекавир Из Индии
Суматриптан Пфайзер
Фенюльс Ранбакси
Темпалгин Детям Инструкция
Рибоксин Авексима Применение
Тразограф Раствор
Ливазо 1мг Цена
Глутаминовая Кислота Цена В Аптеке
Элефлокс Что Лучше
Цитовир 3 Сироп Для Детей Отзывы
Нозефрин Это Сосудосуживающее Средство Или Нет
Низорал Шампунь Цена Чебоксары
От Чего Помогает Лидамитол
Гексикон Свечи И Таблетки В Чем Разница
Пиролиз Стрептоцида







































































