Пин Код Hp Laserjet

💣 👉🏻👉🏻👉🏻 ИНФОРМАЦИЯ ДОСТУПНА ЗДЕСЬ! КЛИКАЙ 👈🏻👈🏻👈🏻
Пин код wps для принтера HP Laserjet и других серий
Пин код wps для принтера HP Laserjet и других серий . . .
Pin-коды Для Вхождения В Сервисное Меню Принтеров Hp
Where to find WPS PIN Number for LaserJet Pro M102w - HP . . .
Hp - Pin-коды Для Сервисного Меню
Сервисное Меню И Pin-коды Для Вхождения В Сервисное Меню . . .
Инструкция как узнать и ввести пин-код для принтера . . .
HP LaserJet Pro MFP - Настройка функции сканирования в . . .
Список пин кодов для WPS | Проверить пин с помощью airgeddon
Как убрать ПИН-код при входе в Windows 10, отключение PIN
Мфу Brother Страна Производитель
Диск Для Принтера Canon
Портативный Принтер Brother
hp .com Report Ad
6 months Instant Ink included with HP+ LaserJet printers . HP+ laser printers are Smarter . Includes 6 months Instant Ink . 6 months free ink · 1 year extra HP warranty · Get more value
officedepot .com Report Ad
Free In-Store Pickup Now In 20 Minutes or Get $20 Off Your Next Qualifying Purchase . Shop HP ® LaserJet Printers From Office Depot® And Get Free Shipping On All Orders $45+ . Categories : Laser Printers, Supertank Printers and more
Пин код wps для принтера HP Laserjet и других серий Ссылка на основную публикацию Похожие публикации Как отключить пароль при входе в Windows 10, 8, 7 или удалить пароль учетной записи
Пин код wps для принтера HP Laserjet и других серий 22 .04 .2020 14 .01 .2021 Айтишник 0 Комментариев В этом материале мы детально расскажем обо всех возможных способах узнать пин-код wps для принтера HP Laserjet и . . .
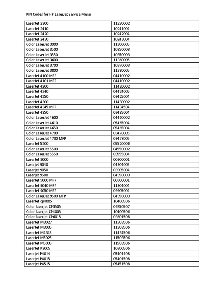
Модель принтера . PIN-кодLaserJet 2300 . 11230002 . LaserJet 2400 . 11240002 . LaserJet 2410 . 10241004 . LaserJet 2420 . 10242004 . LaserJet 2430 . 10243004 . . .
WPS PIN should be at the back of your router (if supported) not from your printer . Please watch the following video which is for a different printer but very similar, if not the same . Regards . Make it easier for other people to find solutions by marking a Reply 'Accept as Solution' if it solves your problem .
Модель принтера и его PIN-код: HP LaserJet 2300 - 11230002 HP LaserJet 2400 - 11240002 HP LaserJet 2410 - 10241004 HP LaserJet 2420 - 10242004 HP LaserJet 2430 - 10243004 HP LaserJet 4100 mfp - 04410002 HP LaserJet 4101 mfp - 04410002 HP LaserJet 4200 - 11420002
www .mirpu .ru › service › 65-hewlett-packard › 108-hp-pin-codes .html
Таблица 1 . PIN-коды для вхождения в сервисный режим принтеров HP LaserJet . Модель принтера . PIN-код . LaserJet 2300 . 11230002 . LaserJet 2400 . 11240002 . LaserJet 2410 .
Пин-код wps для принтера hp Для начала вам потребуется развернуть принтер laserjet той стороной, где находится кнопка выключения питания и входы-выходы для подключения данного устройства .
HP LaserJet Pro MFP - Настройка функции сканирования в сетевую папку . . . В поле Подтвердите PIN-код повторно введите четырехзначный ПИН-код . Примечание . Компания HP рекомендует создать PIN-код, чтобы . . .
Список пин-кодов для WPS больше не будет пополняться новыми пинами . Теперь Вы это можете сделать сами с помощью великолепной программы Router Scan by Stas'M .
Как полностью отключить ПИН-код и пароль при входе . В большинстве случаев пользователи хотят не только убрать ПИН-код, но и отключить пароль, для того чтобы входить в Windows 10 быстро и без каких-либо препятствий .
cdw .com Report Ad
From Small Business to Enterprise, See how HP is Reinventing Business Printing . Service catalog : CDW Amplified Services
Мфу Струйный Canon Pixma Mg3640s Bk Купить
Мфу Epson Cx4300 Цена
Принтер Canon 490
Картриджи Для Принтера Minolta
Принтер Canon 3228 Картридж
Выбрать Мфу Canon
Кабель Для Мфу Canon
Обнулить Счетчик Принтера Brother 2132r
Hp Laserjet 1536dnf Mfp Картридж Купить
Цветной Лазерный Принтер А4 Kyocera Ecosys P5021cd
Hp Laserjet Pro M28w Купить В Москве
Уф Принтер Mimaki Jfx200 2513 Цена
Hp Laserjet Pro 400 Mfp M428fdn
Принтер Brother Dcp 310
Laserjet 426 Застряла Бумага В Печке
Картридж Laserjet P2035n
Мфу Kyocera 1020mfp Купить
Мфу Лазерный Hp Laserjet Pro M1132 Mfp
Hp Laserjet 1536dnf Картридж
Купить Картридж Hp Laserjet Pro M28a
Hp Laserjet Mfp M42625dn
Картриджи Для Лазерных Принтеров Lexmark International
Принтер Hp Laser 107w
Мфу Canon Pixma Tr4540 Купить
Краски Для Принтера Epson 342
Мфу Лазерный Hp Laserjet 179fnw
Принтер Anycubic Mega Zero
Мфу Epson Xp 100
Принтер Hp Laserjet 2055
Широкоформатный Принтер Hp Designjet T630 36 In
Принтер Samsung Ml 1660
Мфу Brother Dcp 1512r Цена
Мфу Лазерное Hp Laserjet Pro M425dn
Чистка Мфу Brother
Купить Мфу Hp Tank
Hp Laserjet 700 Color M775dn
Пин Код Wps Для Принтера Canon
Hp Laserjet Mfp M132fw Firmware
Цветные Мфу Canon Купить
Картридж Для Принтера Ricoh Sp C261dnw
Мфу Hp Laserjet M443nda
Мфу Canon Mf 3228
Мфу Hp Laserjet 3030
Hp Laserjet 335a Картридж
Принтер Кэнон С Wifi
Hp Laserjet Pro Ru M428dw Картридж Совместимый
Планшетный Принтер Mimaki
Принтер Мфу Hp Laserjet Pro M28a
Hp Laserjet Pro P1606dn Купить
Мфу Brother Dcp 7057wr
Принтер Phaser 3020bi Картридж
Мфу Xerox 3100 Купить
Laserjet Pro M1217nfw
Xp Laserjet M1132 Mfp
Мфу Kyocera Ecosys 1020
Принтер Canon 4410 Проверить Картридж
Струйное Мфу Canon Pixma Mg3640s Red Картриджи
Мобильный Принтер Pj 763
Мфу Hp Deskjet Ink Advantage 3785
Отзывы Принтер Epson Xp
Принтер Hp Laserjet 100 Color Mfp
Принтер Hp Laserjet M1120 Картридж
Купить Картридж Для Принтера Canon Lbp
Принтер Мфу Canon Pixma Mg5640
Картридж Для Принтера Hp W1106a
Epson Ксерокс Принтер
Мфу Лазерное Hp Laserjet M438n
Pantum M6500 Принтер Сканер Копир
Принтер Brother 1075
Характеристики Принтера Hp Laserjet
Принтер Ricoh 220
Мфу Laserjet 3055
Hp Laserjet Pro Mfp 428 Картридж
Hp Color Laserjet Pro M182n Картриджи
Принтер Hp Deskjet 1520 Цена
Принтер Самсунг Proxpress M4070fr
Hp Color Laserjet Pro M182nw
Купить Лазерный Принтер Мфу Brother
Принтер Canon Pixma Ip3600 Купить
Многофункциональное Устройство Мфу Kyocera M2040dn
Мфу Laserjet
Краска Для Принтера Epson L3156
Hp Laserjet 225 Картридж
Usb B Wifi Для Принтера
Купить Картридж Q2612a Для Принтера Hp Laserjet
Мфу Kyocera 2735
Hp Laserjet Pro Mfp 521
Мфу Canon Лазерный Для Офиса
Струйные Принтеры С Wifi И Снпч
Принтер Для Наклеек Brother
Принтер Samsung Xpress 2020
Hp Laserjet Enterprise M527f
Тонер Для Принтера Brother Dcp 1623wr
Принтер Xerox B210dni B210v Dni
Skachat Driver Hp Laserjet 1018
Мфу Samsung M2070 Отзывы
Тату Принтер Prinker S Купить
Картридж Для Принтера Samsung Clp 315
Мфу Imagerunner 1435i
Принтер Hp Laserjet 1018 Цена
Пин Код Hp Laserjet





































































:no_upscale()/imgs/2018/11/26/17/2625667/681ebed1ded537f791a45210e98a647656bbe329.jpg)













