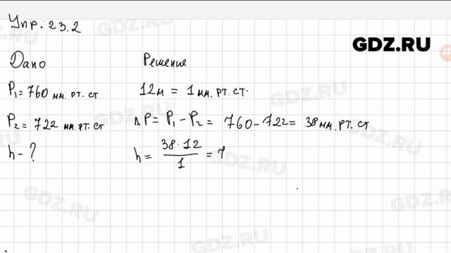
Перышкин 7 класс упр 18
Тетя застряла видео
Мировой судебный участок 391
Ул предтеченская 19 вологда
Почему звезды умирают
Квантовые постулаты н бора
Светлые капронки
World of tanks найти по нику
Какие районы топит в кургане
Шорты мужские joss
Крутые песни новый год
Живой гвоздь 29.03 24
Бейби бейби такая зайка текст
Музыка мп3 русский рэп
Перышкин 7 класс упр 18 107 фото







































































































