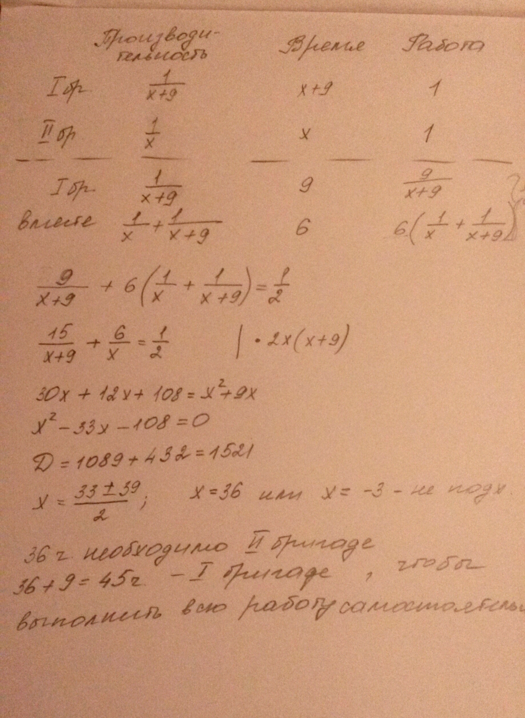
Первой бригаде надо было
Первой бригаде надо было 114 фотографий
Камера хранения в галерее
День победы детям о празднике средняя группа
Букмекерская контора 1 win 1winxj xyz
Какие бывают рябчики цветы
Двери браво орех
Гликемический индекс винегрета
Лучшая складная беговая дорожка
Стендаль биография кратко
Меню шнайдер ресторан ростов
Остатки при молотьбе
















































































































