Personal Response Essay Examples

π ππ»ππ»ππ» ALL INFORMATION! CLICK HERE ππ»ππ»ππ»
Personal Response Essay Examples | Bartleby
Personal Response Essay Example | Personal Statement Structure
Personal Response - 995 Words | Article Example - Free Essays
Response Essay Example - Owlcation
PDF Page 1 WRITING A PERSONAL RESPONSE to TEXT
SAMPLE RESPONSE PAPERS - Longwood University
Response Essay Examples that will Give you Full Insight . . .
Personal Experience Essays - Examples of Research Paper . . .
How to Write a Personal Response Essay | The Classroom
PDF Examples of the Standards for Students' Writing
Cae Essay
Argumentative Essay Gay Marriage
Dissertation Rwi Uzh
grammarly .com Report Ad
How to Write Better Essays : 5 Concepts You Must Master . Grammarly Can Save You from Grammatical Mistakes and Other Writing Issues . Try It Today . Fix Punctuation Errors Β· Improve Word Choice Β· AI Writing Assistant Service catalog : Grammarly Premium, Grammarly Business, Grammarly @edu
Personal Response Essay Examples . Page 1 of 50 - About 500 essays . Into The Wild Personal Response 537 Words | 3 Pages . Into the Wild a story that gave a life event and a deranged experience . I personally believe no one would want to experience what Mcandless went through ever . Unless of course they like to be lonely like sir and have " freedom ."
Personal Response Essay Examples . Personal Response to the Road by Cormac McCarthy . I found this book to be profoundly meaningful and beautifully written, my favorite book that we've read in all of class . McCarthy's depiction of the future is surely bleak, but it's the glimmer of hope that lies seemingly dormant until the end that really . . .
Personal Response Essay (Article) My Papa's Waltz, by Theodore Roethke and Those Winter Sundays, by Robert Hayden, a personal response : These two poems honor fathers, in very different ways, although their life circumstances may have been equally constrained by economics, opportunities, personality, education, and perhaps even ethnicity .
Response Essay Example . Virginia has been a university English instructor for over 20 years . She specializes in helping people write essays faster and easier . 1 . Summarize a text, media or picture . 2 . Give your response : what you think and why .
files .ashley-warawa-klein .webnode .com /200000098-b6ee8b7e78/personal-response-to-text_supprt_and_examples .pdf
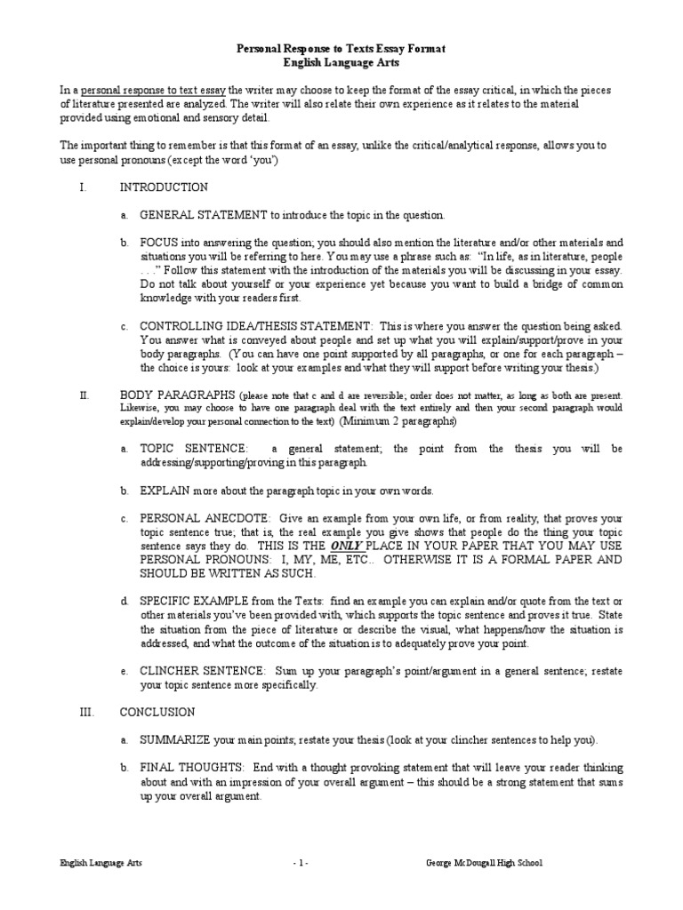
β’ In the table below are a few examples of forms that prose can take: β’ You are also given the choice as to what perspective to use: So, when writing a personal response , you need to determine four things before you begin writing: 1 . theme of the text (idea, impression) 2 . supporting details from the text 3 . prose form the response will . . .
SAMPLE RESPONSE PAPERS . Below is a collection of strong (and exceptionally strong) response papers from students . All received high grades . They are good examples of insightful thinking and strong writing . I would especially encourage you to notice that most of them don't have obvious organization; most of them let their ideas develop and wander .
Response Essay Examples : Keeping everything in mind, the essential parts of a response essay and the main suggestions that you have to keep in mind when starting to write are: Introduction . Paragraph 1: The first part of the introduction needs to be vivid, catchy, and reflect the point you are about to make .
view essay example . Personal Experience Personal Growth and Development 3 Pages . Life is a mixture of different emotions . Sometimes it is full of happy moments, others are sad, frightening, learning, and discovery among others . One explores life though experiences that happen throughout life .
A personal response essay is a type of essay that asks students to think critically about a piece of writing (or sometimes another form of media like a movie, television show or article) and respond based on a critical analysis of the writing's content in comparison to their own beliefs and personal experiences .
Personal Response to Texts Assignment 4 Critical/Analytical Response to Literary Texts Assignment 9 Part A: Written Response Standards Confirmation 11 Examples of Students' Writing with Teachers' Commentaries 12 Personal Response to Texts Assignment 12 Critical/Analytical Response to Literary Texts Assignment 48 Scoring Categories and . . .
Essays Buy
Flashback Essay
Persuasive Essay On Technology
Motherland Essay
Essay Report Form 4
Essay Titles Examples
Cinematography Essay
Essay On Myself In English For Class 3
Dissertation Bristol
Essay Writer Jobs
Career Essay Sample
Hw Dissertation
Essay On A Thousand Splendid Suns
As You Like It Essays
Sample Headings And Subheadings
Essays On The American Revolution
Do My Accounting Homework
Essay Creator App
Outline Of A Descriptive Essay
Making A Living Essay
My Favourite Sport Essay
Essay On Education In Pakistan Css Forum
Comparison Contrast Essays
Research Paper Title Page Format Mla
Dissertation Science Politique Exemple Pdf
Essay On Cry The Beloved Country
Essay Friendship Pt3
Example Of Classification Essay
Annotated Bibliography Nursing Leadership
Activities Essay
How To Conclude A Persuasive Essay
Koko Taylor Research Paper
Female Education Essay
Do Essay
Ny Bar Exam Essay Tips
Persuasive Abortion Essay
Essay Shark Account
Essay On Types Of Pollution In Urdu
Essay Com
Dissertation Awards Higher Education
Essay On Holiday Destination In India
Why Does My Child Take So Long To Do Homework
Dissertation Sznonzm
Socialism Vs Capitalism Essay
Write My Custom Paper
Factual Essay Example
Song Analysis Essay Example
Abortion Should Be Legal Essay
Sample Compare And Contrast Essay
Exemplification Essay Topics
Essay Topics For Upsc 2022
Compare And Contrast Essay On High School And College
Short Story Essay Example
Essay Length For Ut Austin
Essay On Assisted Suicide
Custom Essay Company
Pablo Picasso Essay
Joan Didion Self Respect Essay
Example Essay About Myself In French
Essay Sustainable Development
Hindi Essay On Diwali Mela
Annotated Bibliography For Photos
I Used To Do My Homework
Essay My Dad
Dissertation Express
College Athletes Should Get Paid Essay
3rd Person Essay Example
How To Write Composition Essay
Essay Cover Page Template
Feminist Criticism Essay
Essay Help Introduction Paragraph
Hans Pries Dissertation
Essay Length For Apply Texas
Photographer Essay
Environment Protection Essay
Foreign Policy Essay
Essay Labor Unions
Healthy Lifestyle Essay
Annotated Bibliography On Climate Change
Essay Uk
Personal Belief Essay
Essay Writing My Self
Buy Custom Essay Papers
Pro Essay Writing Service Reviews
Essay On Commonwealth Games
Siddhartha Essays
College Entry Essay Samples
Descriptive Essay Topic Ideas
Discriptive Essay Example
Annotated Bibliography Nsw
Good Hooks For Essays
Abortion Controversy Essay
Journalistic Essay Meaning
Essay On Selfishness
Scarlet Ibis Essay
Essay Writing Knowledge Is Power
Buying Essay
Analytical Essay Example
Drunk Driving Essays
Essay On Neighbourhood
Personal Response Essay Examples








:max_bytes(150000):strip_icc()/sample-page-2-56a4b8c93df78cf77283f242.png)
















:max_bytes(150000):strip_icc()/outline2-56a4b8cb3df78cf77283f248.png)




























































