Периодические дроби
Александр ИвановВ районе восьмого-девятого класса школьник получает представление об иррациональных числах и в состоянии заявить, что: «Если речь идет о десятичной записи числа, то рациональное число – это число, которое представимо в виде конечной десятичной дроби или бесконечной периодической десятичной дроби, а иррациональное число нельзя представить в таком виде».
На этом практически завершается школьная эволюция числа – мы «вышли» на действительные числа – это, как известно, объединение множества рациональных и иррациональных чисел. Комплексные числа, как и договаривались, обсудим сильно позже, с точки зрения систематизации знаний – вещь полезная, с точки зрения демонстрации знаний на экзамене – нет (комплексные числа почти никогда не рассматривают в рамках школьной программы).
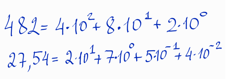
Итак, к девятому классу следующее представление числа не должно вызывать вопросов (Рис.1):

Продолжим «на ходу» проверять знания школьника. Предлагаем несколько коротких вопросов для человека, который заканчивает/закончил минимум девять классов.
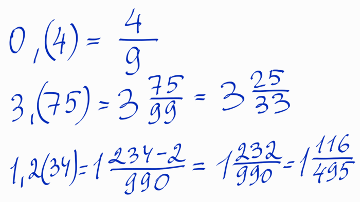
Для начала имеет смысл попросить: «Представить в виде обыкновенной дроби, например, число 0,(4)».
Затем, задайте пару следующих вопросов: «Представить число 3,(75) в виде обыкновенной дроби и число 1,2(34) в виде обыкновенной дроби».
Проанализируем возможные варианты ответов.
1. Если решения выглядят приблизительно следующим образом (Рис.2):

Это балл в пользу того, что ребенок осваивает школьную программу на отличном уровне.
2. Интервьируемый удивился, увидев скобки после запятой и заявил: «Мы такие задания не выполняли».
Очень возможно, что так и есть.
Если ребенок полгода ходит к репетитору, то есть над чем задуматься. В любом случае с несмешанной дробью средний школьник должен «разбираться».
3. Выполнил первые два задания – там речь идет о несмешанной периодической дроби, но не справился с вопросом: «1,2(34)=?», где требуется «разобраться» со смешанной периодической дробью – почти никто не помнит формулу, даже если когда-то ее видел. Ничего удивительного, кстати.
Такое правило перевода НЕВОЗМОЖНО запомнить: «Чтобы представить смешанную периодическую дробь в виде обыкновенной, запишите в числитель разность, где уменьшаемое – это число из дробной части от десятичной запятой до закрывающей скобки, а вычитаемое – от десятичной запятой до открывающей скобки. В знаменатель напишите столько девяток, сколько цифр в скобке и добавьте столько нулей, сколько цифр после запятой и до открывающей скобки». Единственный шанс – восстановить это правило, если потребуется, см. ниже.
Сильно переживать насчет нерешенного задания 1,2(34)=? не нужно.
Для вариантов 2 и 3 продолжим диагностику (в варианте 1 это необязательно).
Попросите посмотреть следующий видео фрагмент, в варианте 2 повторите все вопросы, в варианте 3 повторите вопрос на смешанную дробь и для всех вариантов (1, 2, 3) задайте еще один дополнительный вопрос:
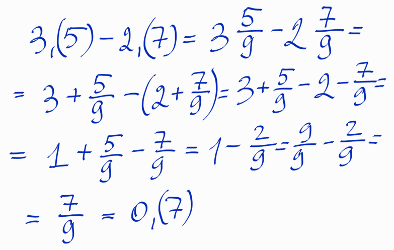
3,(5)-2,(7)=?
Теперь ясно как "работает" правило перевода для смешанной дроби (Рис.3).

Если в итоге ваш школьник попал сначала в вариант 2, а потом решил ВСЕ, включая дополнительный вопрос.
Попал сначала в вариант 3, а потом «добил» задание на смешанную периодическую дробь, а на дополнительный вопрос ответил что-то вроде такого (Рис.4):

Тогда есть некоторые основания считать, что ребенок в состоянии самостоятельно «закрывать» пробелы в изучении математики и наш курс будет полезен.
Если ваш школьник не решил ничего, результат не изменился после пояснений и не решил дополнительное задание, то дело плохо. Существует вероятность, что «копать» придется с самых азов. Но это НЕ ТОЧНО.