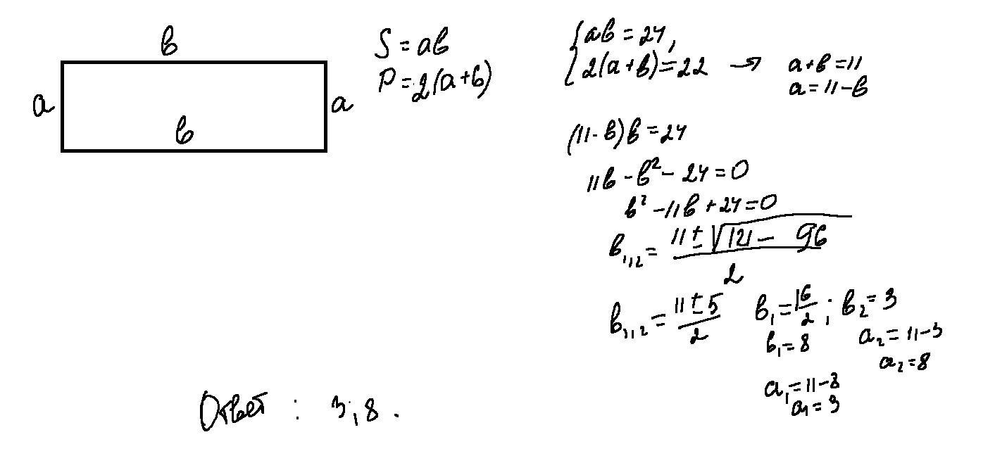
Периметр прямоугольника равен 114
Периметр прямоугольника равен 114 115 фото
Mudak sophie rain sierra spiderman video
Москва таджикистан завтра
Что означает красный шар
Массаж салон люберцах
Протокол создания общественной организации
Шкафы пеналы от производителя
История браузера друга
Компьютер happy pc
Сывороточный протеин что это такое
Новости спб комсомольская
Мускулистая карамелька
C list where
Диагональ 12 это сколько
Врач дерматолог на баумана
2 2 дихлорпропан koh водный
Спа носочки для ног
Тамбов место нахождения
Асд дорогова отзывы врачей
Игрушка в жидкости антистресс
Цум китон

















































































































