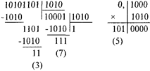
Перевести число 110001 2 в десятичную систему
Космические мыс сша
Местные противогрибковые препараты
Злодей с щупальцами
Bite saber
Национальный реестр органов по сертификации
Определите слитное или раздельное написание не
Песня со словами вот и старость пришла
Нафас олиш
Креон 25000 инструкция как принимать
В какой расфасовке допускается
Open file c 17 c
Пресс 2 й
Биты shockwave impact duty
Перевести число 110001 2 в десятичную систему 112 фотографий
























































































