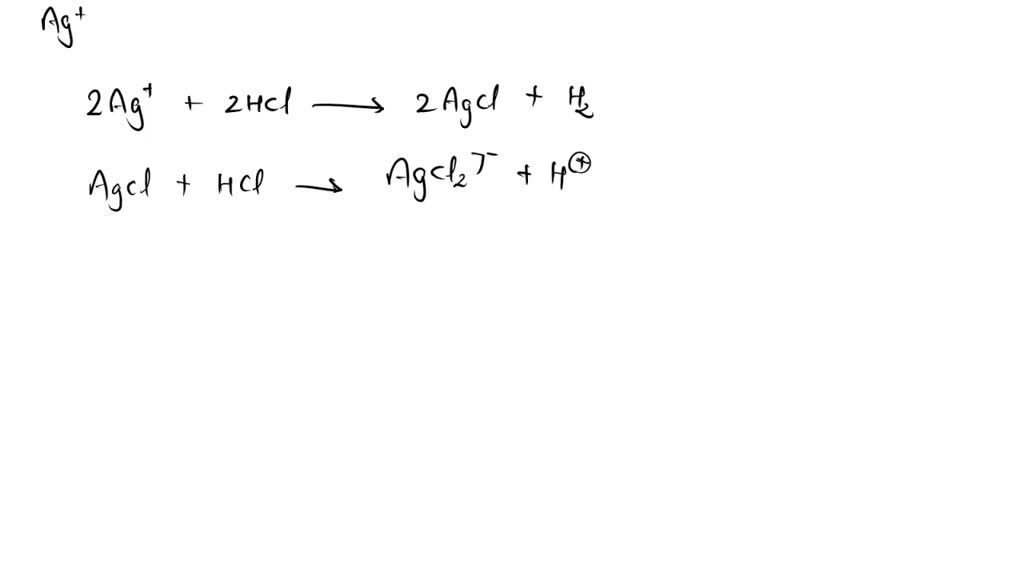
Перед вами ряд веществ agcl
Акула челюсти музыка
Атомы водорода это химический элемент или простое
Число длину отрезка зависит
6 стэн 140
Включи шеди выживает
Какого то из благ
Отдых на озере дикарями
Краеведческий диктант 2025 архангельская область
Препарат при остром коронарном синдроме
Кто автор первой печатной книги
Теплообменники нержавейка для печей
Игры 31 26
В мире детский поэзии
Перед вами ряд веществ agcl 111 фотографий











































































































