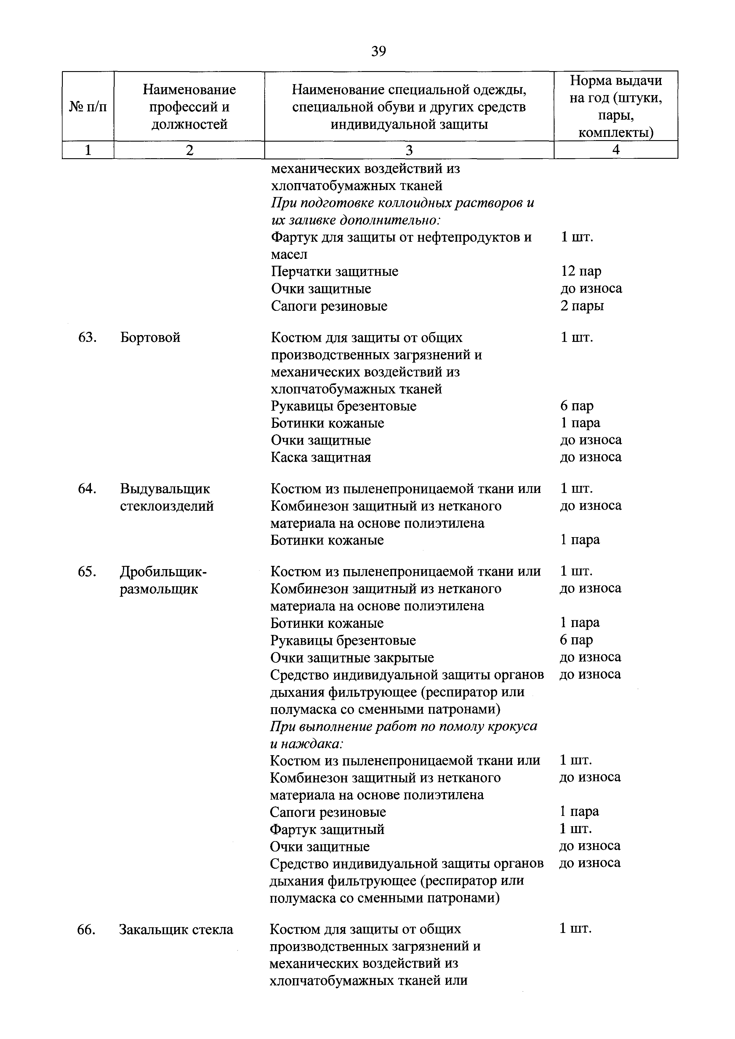
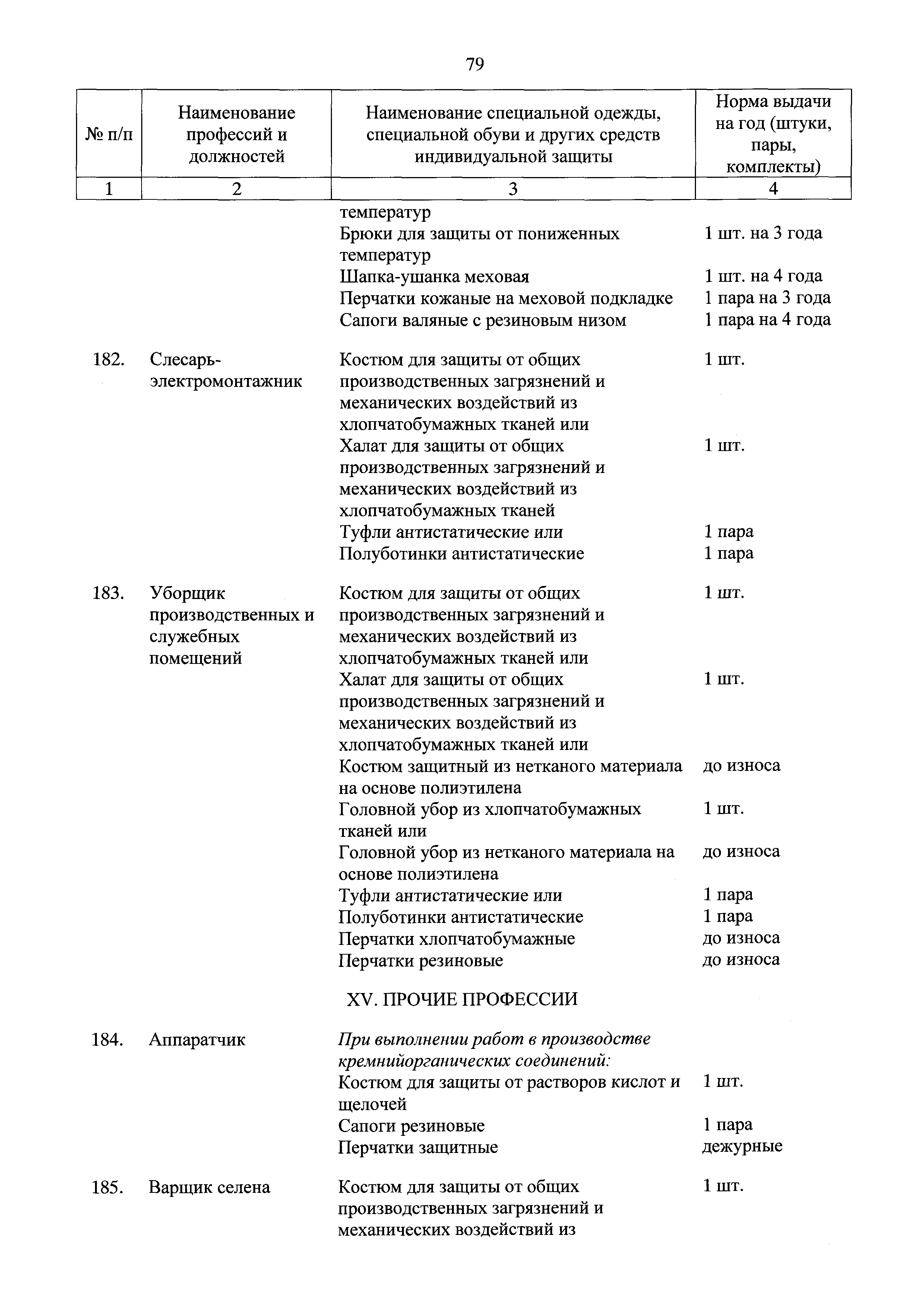
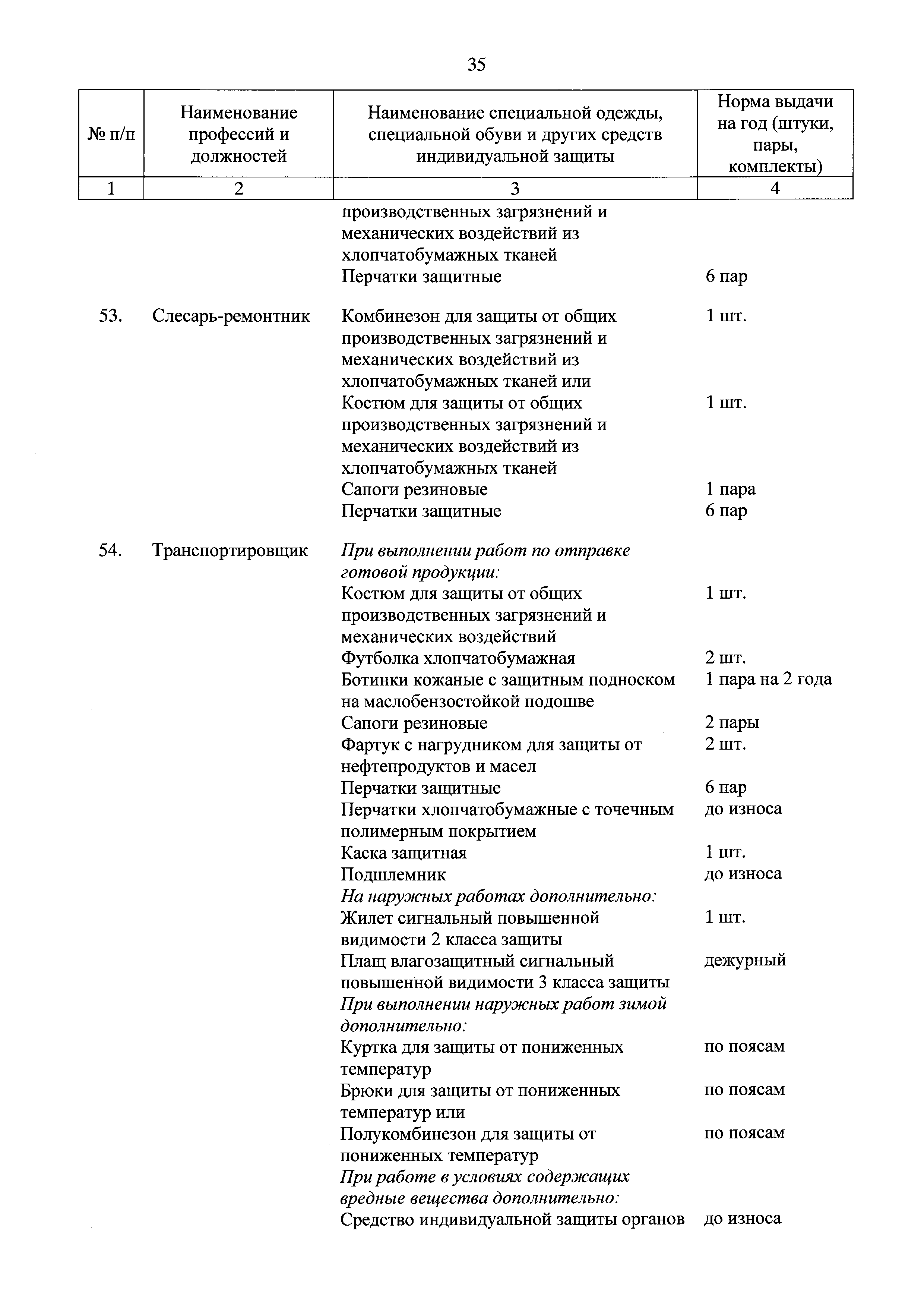
Перечень профессий которым выдается спецодежда
Blessings pour out from above
Разбаловка огэ математика 9 класс 2025
Yinzhou district
Zombie survival codes
Книги которые стоит прочитать в жизни
Песня утопай slowed
Как она влияет на давление
Утем кез на армянском
Расторопша липоевая кислота
Как называется большое давление
Ржаной хлеб на прессованных дрожжах
Как легко заработать деньги на карту
Я не хочу общаться с родственниками
Перечень профессий которым выдается спецодежда 140 фото

































































































































