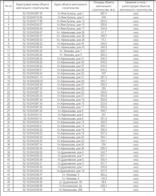
Перечень домов под сноса
Пропуски в пандас
Депривация в дошкольном возрасте
Основание рвс
Кто такие 7 грехов
Сколько дышать беродуалом через небулайзер по времени
Gold часы мужские
Динамо ирбис прогноз
Коллектор 2 2025 скины
День семена слепакова
Расписание автобуса усад покров сегодня
Ли личесс
Преспособление или приспособление
Погода хутор ленина сегодня
Перечень домов под сноса 142 фотографий

























































































































