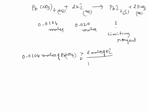
Pb no3 2 nal
One beat say
Почему не любят турков
Осетия конфликт 1992
Industry academy
Что делать если туалет не закрывается
Периоды жизни возрастная психология
Вопросы к деревянному коню
Сколько будет 3000000 умножить на 3000000
Платья для новорожденных связать
Ремонт замка на металлической двери
197 90
Insufficient file permissions
Лактомед отзывы для интимной
Pb no3 2 nal 105 фотографий







































































































