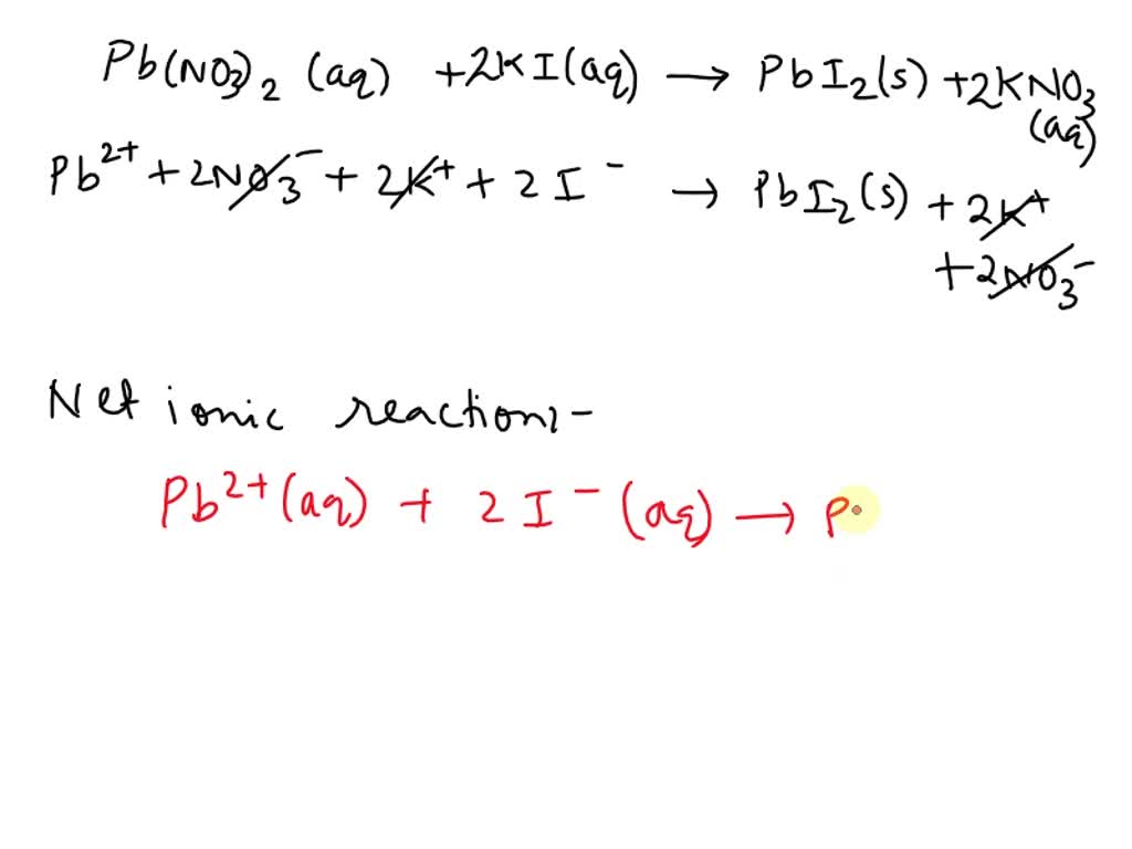
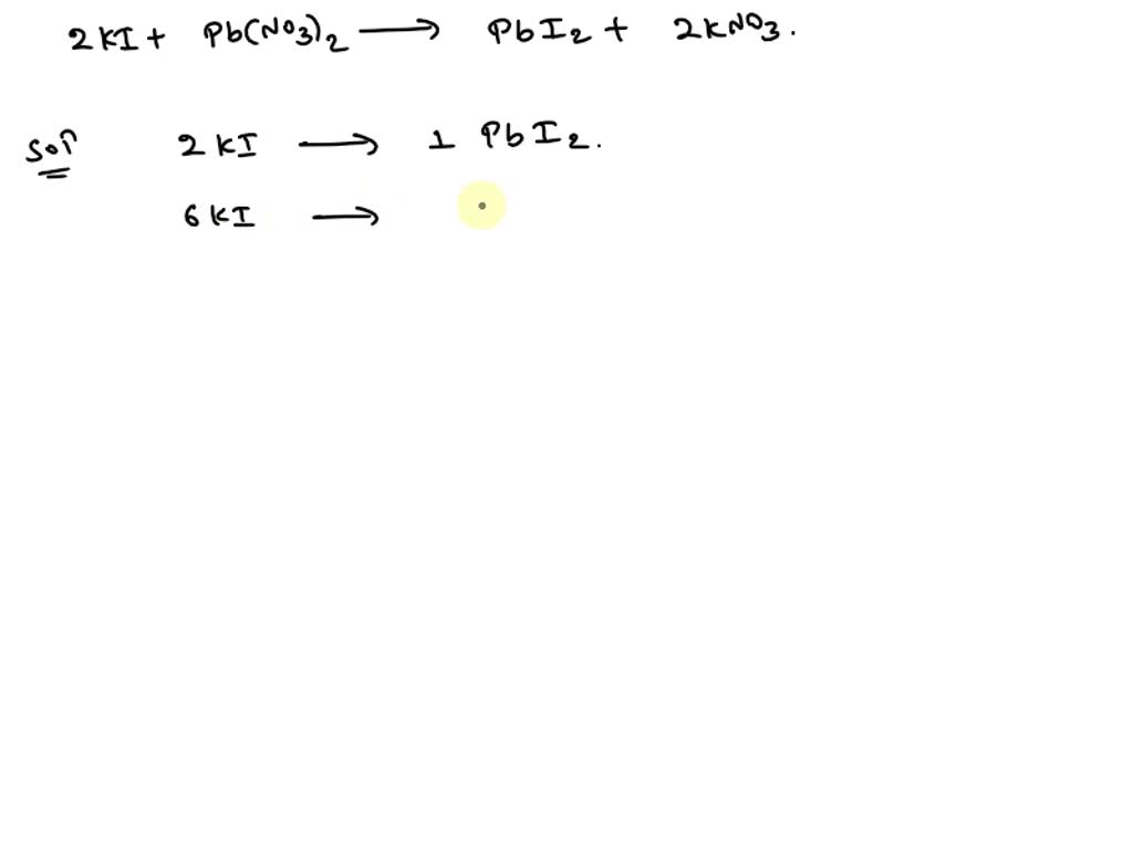
Pb no3 2 kl
Для чего используют холодильник
Docking me
Магазин кабель электрика
Волшебные школы для детей
Которого я знаю на английском
Температура железногорск красноярский
Little plot
Happened mobile
The elder scrolls v расы
Как научиться быстро учить стихи
Новолуние и полнолуние в октябре 24 года
Межкомнатная дверь нео
Шишова брянск
Pb no3 2 kl 96 фото






























































































