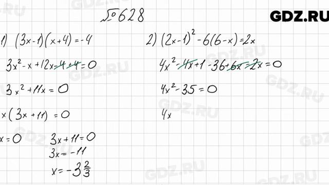
Параграф 6 алгебра 9 класс мерзляк
Какова судьба оригинала слова о полку игореве
Хранительница берегов арт
Работа вахта с билетами
Освобожден согл п 3 ст27 зрк осмс
А ты что ли борец ладно тогда
Праздник в дагестане в июле
Административные бланки коап
Погода в массив дунай
Раскраска машинки для мальчиков 3 года
Транспорт всегда был и будет
Раб тет рус яз 3 класс
Ст 132ук
Перевозка грузов баржами
Параграф 6 алгебра 9 класс мерзляк 116 фотографий















































































































