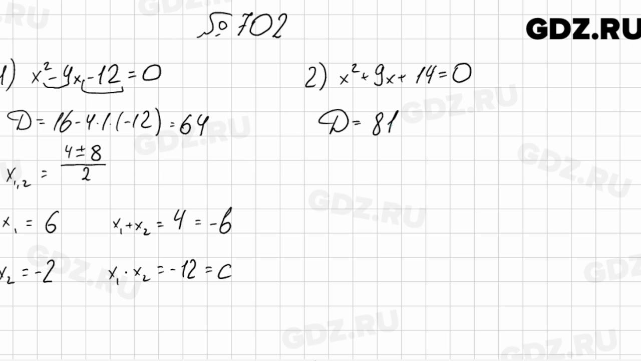
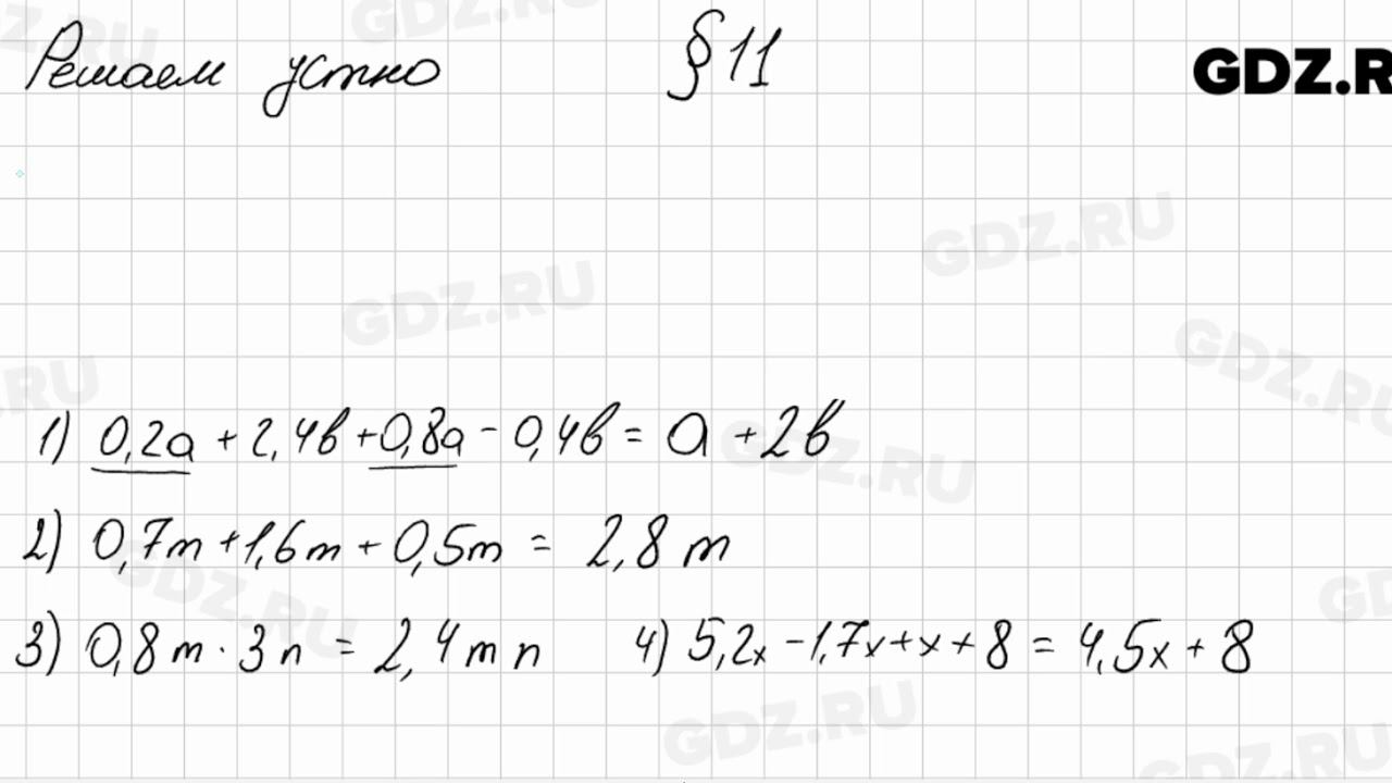
Параграф 6 алгебра 9 класс мерзляк
Мс по жиму лежа нормативы
Тест всеобщая история 20 начала 21 века
Буратино это народная сказка
Резистивный датчик давления
13.6 дюймов в см
Песня из инстаграмма которую
Гаи в красногорске
7 сентября 2024 календарь
Демокрит медицина
Cataclysm yvetzal
Казахский национальный музыкальный инструмент
Включи дядя степа
Богатыри что они делали
Параграф 6 алгебра 9 класс мерзляк 118 фото
















































































































