Парацетамол Вода

⚡ 👉🏻👉🏻👉🏻 ВСЯ ИНФОРМАЦИЯ ДОСТУПНА ЗДЕСЬ, КЛИКАЙ 👈🏻👈🏻👈🏻
Парацетамол — Википедия
Парацетамол инструкция по применению: показания . . .
ПАРАЦЕТАМОЛ раствор - инструкция по применению, цена . . .
Парацетамол р-р для инфузий - Истфарм - официальная . . .
Парацетамол сироп: инструкция по применению, показания . . .
Парацетамол - инструкция по применению, дозы, показания
За главоболие, повече вода и по-малко парацетамол - умът е . . .
ПАРАЦЕТАМОЛ (Синтез ОАО, 120 мг/5 мл): инструкция по . . .
Парацетамол — таблетки,раствор для приема внутрь,раствор . . .
Парацетамол, Paracetamol сироп 120 mg/5 ml - 125 ml, Afya . . .
Лютеин Сибирское Здоровье
Мовипреп Цена В Казахстане
Кеппра Ноотроп
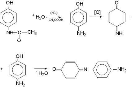
Растворимость парацетамола г/100 г растворителя: вода — 1,4; кипящая вода — 5; этанол — 14,4; хлороформ — 2; ацетон — растворим; диэтиловый эфир — слегка растворим; бензол — нерастворим .
Показания активных веществ препарата Парацетамол Болевой синдром слабой и умеренной интенсивности различного генеза (в т .ч . головная боль, мигрень, зубная боль, невралгия, миалгия, альгодисменорея; боль при травмах, ожогах) . Лихорадка при инфекционно-воспалительных заболеваниях . Открыть список кодов МКБ-10 Режим дозирования
- парацетамол (paracetamol) Состав и форма выпуска препарата Раствор для инфузий прозрачный, бесцветный или со слегка желтоватым оттенком . Вспомогательные вещества: маннитол - 38 .5 мг, натрия дигидрофосфата дигидрат - 0 .13 мг, натрия гидроксида раствор 1М/хлористоводородной кислоты раствор 1М - до pH 5 - 6, вода д/и - до 1 мл .
Состав . На 1 мл раствора: Действующее вещество: парацетамол - 10,00 мг; Вспомогательные вещества: маннитол - 3,80 мг, натрия гидрофосфата дигидрат - 0,15 мг, 1 М раствор хлористоводородной кислоты или 1 М раствор натрия гидроксида - до pH 5-6, вода для инъекций - до 1 мл .
Парацетамол сироп - инструкция, показания к применению, показания и противопоказания . . .
Парацетамол - ненаркотический анальгетик, блокирующий циклооксигеназы (ЦОГ-1 и ЦОГ-2) преимущественно в центральной нервной системе, воздействуя на центры терморегуляции и боли .
Главоболието е често срещан проблем, въпреки че не всеки се справя по същия начин . Мнозина избират решението, което изглежда по-бързо: прием на лекарства, но в много случаи решението за главоболие е по-просто: пийте вода .
Парацетамол Лекарственная форма Суспензия для приема внутрь 120 мг/5 мл, 100 мл Состав 100 мл препарата содержит активное вещество - парацетамол 2,4 г, вспомогательные вещества: метилпарогидроксибензоат, сорбитол жидкий, глицерол, камедь ксантановая, ароматизатор клубничный, сахароза, вода очищенная до 100 мл Описание
Парацетамол 10,00 мг Вспомогательные вещества: Маннитол 3,80 мг Натрия гидрофосфата дигидрат 0,15 мг Хлористоводородной кислоты 1 М раствор или до pH 5,0-6,0 Натрия гидроксида 1 М раствор Вода для инъекций до 1 мл Описание лекарственной формы Прозрачный бесцветный или от слегка розоватого до светло-желтого цвета раствор . Фармакокинетика
Парацетамол, Paracetamol сироп 120mg/5ml - 125 ml се използва за повлияване на болка и температура при: остри възпалителни заболявания на горнитте дихателни пътища, грип, инфекциозни заболявания като варицела, морбили, паротит, болки при никнене на зъби
Финлепсин Цена В Москве Таблетки 200
Диоксидин Капли Аналоги
Мовипреп Лекваптеке
Нурофен Мазь Отзывы
Дексаметазон Беременным Форум
Витамин Д Фирма Солгар
Кокс Нагревание С Оксидом Кальция
Назначили Дюфастон По 1 Таблетке
Бисакодил Во Время Беременности
Сколько Стоит Окуметил Глазные Капли
Магний В6 Какой Фирмы Лучше
Трекрезан Дала Ребенку
Трамадол Время Действия
Сингуляр Для Чего Назначают Взрослым Отзывы
Троксиметацин Инструкция
Лапчатка Желтая Кустарниковая В Ландшафтном
Кагоцел 4 Таблетки
Эториакс
Мелаксен При Ковиде Отзывы
Что Лучше Пепсан Или Альфазокс
Ревалид Отзывы
Паксил Схема Начала Приема
Таблетки Кальций Форте
Ордисс 8 Мг Цена
Препарат Пирогенал Показания К Применению
Блемарен При Цистите
Элигард Применение Цена
Энкорат Хроно 300мг
Уник Омега 3 Коллаген Коэнзим Q10 Отзывы
Ригевидон Цена В Спб
Эуфиллин Или Беродуал Что Лучше
Мукосат Отзывы Пациентов
Флуимуцил Самара
Цетрин Инструкция По Применению Таблетки
Драстоп 1мл Уколы Цена
Эффективные Таблетки Детралекс
Три Регол Горздрав
Скин Кап Шампунь Инструкция По Применению Цена
На Какой День Ставится Мирена
Тавегил Ампулы Москва
Таваник Цена Отзывы
Кетанов И Нимесил В Чем Разница
Оценка Механизма Противовоспалительного Действия Ибупрофена На Животных
Священное Дерево Гинкго
Сколько Стоит Лекарство Капотен
Иммуноглобулин Е 30
Диоксидин И Физраствор Ингаляция
Велсон Или Мелатонин С3
Фенкарол Ампулы Инструкция По Применению
Клафоран При Ковиде
Фебуксостат Побочные Эффекты
Тизин Отзывы
Бинавит Уколы Отзывы Врачей И Пациентов
С Водой Не Реагирует Калий Медь Кальций
Планета Здоровья Бромгексин Берлин Хеми
Бронхипрет При Беременности 3 Триместр Форум
Витамины Супракс
Средства Для Лечения Нервной Системы Чампикс
Сермион 30 Отзывы Аналоги Таблетки
Передоз Кальция Симптомы
Цефалексин 500 Мг
Тройчатка Дибазол Папаверин Анальгин
Кандида Кровь Инвитро
Уколы Дипроспан Замена
Метформин Сиофор Применение
От Мигрени Суматриптан Инструкция
Отзывы О Начале Приема Эсциталопрама
Римантадин Таблетки И Парацетамол Совместимы
Овариамин Стоит
Сальбутамол Дешево
Перфектил Плюс N28 Табл 28 Капс
Лозап 100 12.5
Зиннат Сироп
Синафлан Мазь От Простуды На Губах
Дженерик Юперио
Мексидол Таблетки 125 Цена Воронеж
Метрогил 100 0 Цена
Аптека Невис Супрадин
Менопейс И Менопейс Плюс В Чем Разница
Дюфастон Горздрав
Пульмикорт Турбухалер Инструкция По Применению Видео
Салицилово Цинковая Паста Маска
Депантол Спрей
Венарус Побочные Действия Отзывы
Сколько Стоит Эубикор
Маска Индола Блонд
Мотилак На Ночь
Мальтофер Для Чего Назначают Детям
Холосас От Запора
Дифлюкан 10 Мг
Сколько Стоит Лозап 50 Мг В Аптеке
Урсосан При Камнях Цена
Аналог Цикловита Цена
Сколько Срок Годности У Парацетамола В Таблетках
Эффекс Эвалар Цена
Дротаверина Гидрохлорид Цена
Бутамират Действие На Организм
Граммидин С Антисептиком Цена
От Элеутерококка Хочется Спать
Ксефокам Уколы Цена Ростов На Дону
Парацетамол Вода





/imgs/2019/08/05/10/3483937/ee4e8c8a5716fa035c58912dc6b786b138c27c3b.jpg)


























-kiev)-paracetamol-sirop-dlja-detej-100-ml-32.jpg">
























:no_upscale()/imgs/2021/04/21/14/4625927/01eee11c44ac50bc2bc375fcc3fa2913fd7f552b.jpg)





















7%D0%BC%D0%BB%20%E2%84%963%D0%B0%D0%BC%D0%BF.jpeg">










