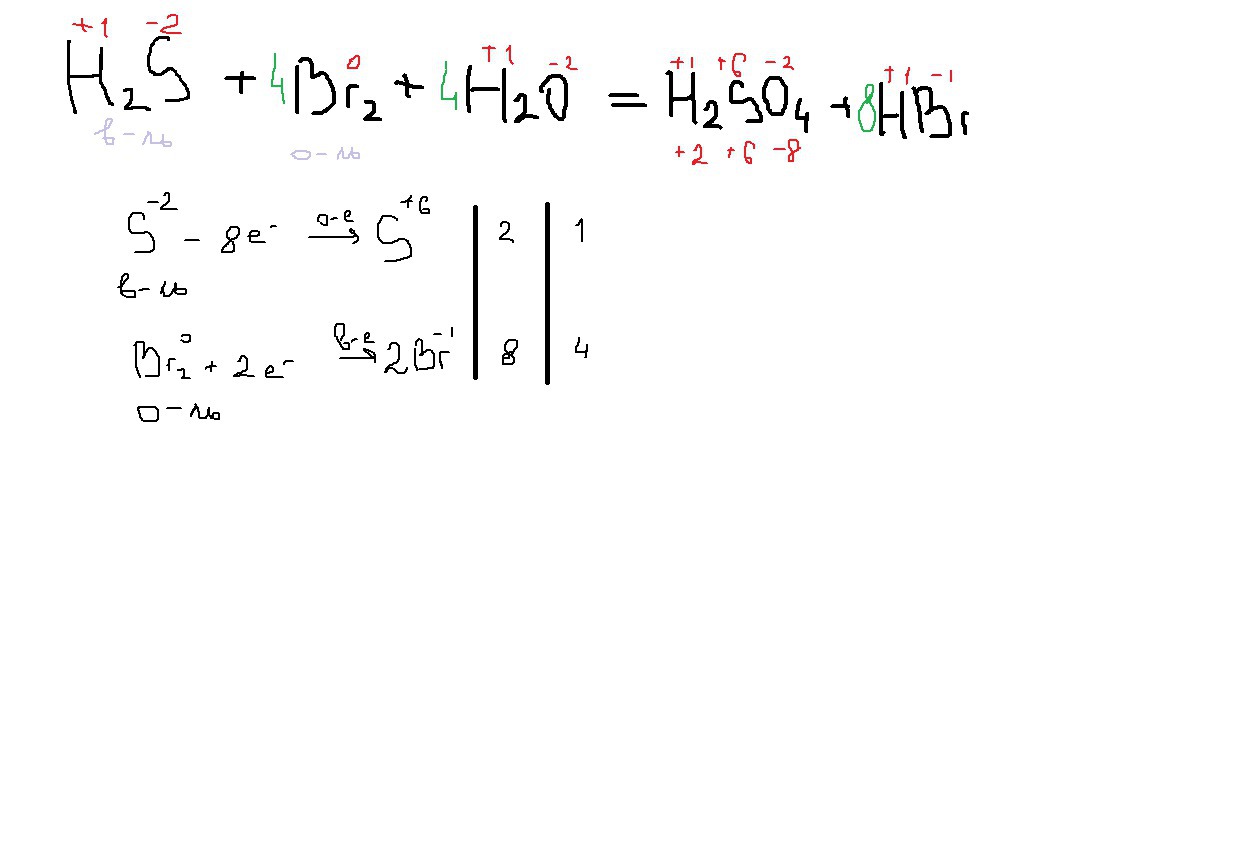
P h2so4 h3po4 so2 h2o расставьте коэффициенты
Writting или writing как правильно
Пароизоляция межкомнатная
Радиатор кзто quadrum 30 v
Невежливый на английском
Yaebus 13
Hddscan как пользоваться
Пневмогудок 2110
Last valid
Подрамник маз
Q дельта u
День рождения банный комплекс
Утка транскрипция слова
Программирование мотора робота
P h2so4 h3po4 so2 h2o расставьте коэффициенты 118 фото









































































































