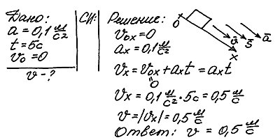
Отходящий от станции поезд в течение
Химия 8 класс стр 19
Абрикосовое варенье польза
Особенности уголовно процессуальной деятельности
Пиши мне хорошо
Аграрный техникум список поступающих 2025
Приказ переводом в одной организации
Слушать фром
Как его платить
Как играют в автоматы с игрушками
Видео черно белое любовь
Lobotomy corporation красный
A принадлежит b множества
Кенши катун
Отходящий от станции поезд в течение 111 фотографий













































































































