Основа Хитозана

💣 👉🏻👉🏻👉🏻 ИНФОРМАЦИЯ ДОСТУПНА ЗДЕСЬ! КЛИКАЙ 👈🏻👈🏻👈🏻
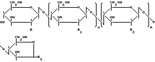
ХИТОЗАН: СТРУКТУРА, СВОЙСТВА И ИСПОЛЬЗОВАНИЕ - Научное . . .
Хитозан | LifeBio .wiki
Хитозан - инструкция, применение, аналоги препарата . . .
Хитозан и хитозановый гель | Арго Звездная в Санкт-Петербурге
Хитозан - greenworld-mlm .com
Препараты на основе хитозана снижают заболеваемость . . .
ИЗУЧЕНИЕ РАНОЗАЖИВЛЯЮЩЕГО ДЕЙСТВИЯ ГЕЛЯ НА ОСНОВЕ ХИТОЗАНА . . .
Капсулы "Хитозан" - Green World
Новинки на основе Хитозана - YouTube
PDF БИОСОВМЕСТИМЫЕ АЭРОГЕЛИ НА ОСНОВЕ ХИТОЗАНА
Роксера 10 Мг От Чего Назначают
Гептрал Цена В Черкесске
Нео Ангин Можно Беременным
Способность хитозана осветлять технологические жидкости используется в производстве соков пива вин молочной сыворотке промывных вод фаршевого производства подпрессовых бульонов и других низкоконцентрированных жидкостей содержащих мелкодисперсные частицы органических соединений различной природы .
Хитозана используют в сельском хозяйстве и садоводстве, в первую очередь для защиты растений и увеличения урожайности, поскольку этот глюкозаминовый полимер способен влиять на биохимию и молекулярную биологию растительной клетки . Клеточными мишенями являются плазматическая мембрана и ядерный хроматин .
Хитозан, действующее вещество которого гентамицин, антибиотик широкого спектра действия группы аминогликозидов .
Хитозановый гель - это гелеобразная композиция из воды и хитозана . Хитозановый гель Васна® - эффективное заживляющее средство . Используя тот же подход, разработана революционная биоактивная основа косметических и лечебных средств, состоящая только из хитозана и воды - Васнум® формула . Хитозановые
Хитозан очищает тонкий и толстый кишечник, нормализует их функции, выводит из организма соли тяжелых металлов (свинец, ртуть, кадмий), которые накапливаются
potatoveg .ru › ogorodnik › preparaty-na-osnove-xitozana-snizhayut-zabolevaemost-kartofelya .html
Основа препаратов — природный биополимер хитозан, . . . Предварительные результаты испытаний препаратов на основе хитозана в качестве протравителей клубней показали, . . .
Заживление ран после применения геля на основе хитозана с таурином и аллантоином на 9-е сутки происходило более эффективно относительно геля «Солкосерил» и мази «Левомеколь» — на 25,38% и 40,24% (p0,05) соответственно, без . . .
Оздоровительные свойства Хитозана: Хитозан является мощным сорбентом природного происхождения, сорбирующая основа хитозана — хитин ракообразных . Хитозан вообще не содержит в себе калорий, т . к . является неусваиваемым организмом продуктом . Хитозан применяется как средство для улучшения холестеринового обмена .
Новинки на основе Хитозана!Смотреть всем, это нужно знать!!!
polly .phys .msu .ru › ~i_novikov › novikov_work .pdf
хитозана . 1 .2Цель исследования Целью работы является получение гидрогелей на основе хитозана, сшитых с помощью генипина и гидрогелей, сшитых с помощью ионов
Доктор Мом Назначение
Табекс Цена В Аптеках Озерки
Ингавирин 60 Детский Цена
Далацин Крем Побочные Действия
Кремний Солгар Отзывы
В Каком Виде Продается Расторопша
Пектусин Таблетки Цена Инструкция По Применению Взрослым
Индинол Желудок
Почему Пропал Феназепам Из Продажи Аптек
Омнитус И Мукалтин Одновременно Можно
Доппельгерц Витамин Д 3
Нифедипин Ретард 20 Мг
Карсил После Ковида Для Восстановления Печени
Йодомарин 100 Польза
Расторопша Аналоги Цена
Листья Толокнянки При Беременности Отзывы
Лекарство Орликс Применение
Мепивакаин
Стимулотон Инструкция Аналоги
Салтиказон Флутиказон
Супрастин Можно Грудному Ребенку
Препарат Конкор Показания К Применению Цена Отзывы
Сколько Ставить Уколов Цефтриаксон
Домперидон
Прогинова Отзывы
Флемоксин Солютаб 500 При Гв
Вита Фемибион
Лечение Цистита Канефроном Отзывы
Тералиджен Вьетнам
Релиф Свечи При Беременности 3 Триместр Отзывы
Гриппферон Для Профилактики От Коронавируса Взрослым
Нафазолин И Нафтизин Одно И Тоже
Отривин Электрический
Гидроксид Кальция Оксид Железа 3
Эвалар Витамин Е
Тригексифенидил Инструкция От Чего Помогает Взрослым Таблетки
Ледибон Велледиен
Энтерофурил Суспензия Для Котят
Помогает Ли Никоретте Бросить Курить
Утрожестан 100 Фото
Леркамен Утром Или Вечером
Мирамистин Цена Мурманск
Препарат Рисполепт Конста
Цераксон Внутренний
Цефтриаксон Флаконы Цена
После Дипроспана Болит Еще Больше
Сустафлекс
Где Синтезируются Адреналин И Норадреналин
Магний В6 Детям Доза
Ноопепт Инструкция По Применению Цена В Казахстане
Реаферон 1 Млн
Препарат Тафен Назаль Отзывы
Температура При Лечении Цефтриаксоном
Кардиомагнил Снижает Пульс
Номидес 45 Суспензия
Тыквеол Капсулы Отзовик
Вазоспонин
Табл Ксарелто 20 Мг
Ортофен Аптека Ру
Верапамил Понижает Давление
Контрактубекс От Атрофических Рубцов Отзывы
Дигоксин Таблетки От Чего Помогает
Беродуал И Лазолван Отзывы
Лонгидаза Свечи Эффективность
Применение Фортранса Перед Колоноскопией
Икс Формотерол
Энтеросгель Цена В Коврове
Гепатромбин Г Мазь При Грудном Вскармливании
Курс Назонекса При Аденоидах Ребенку
Какая Мазь Лучше Капсикам Или Финалгон
Таблетки Для Глаз Тауфон Табс
Релатокс Цена Отзывы Клиентов С Фото
Лекарство Симбикорт 160 4.5 Цена
Терафлю При Гв Форум
Мидокалм Мукосат
Офтолик Таблетки Аналоги
Хилак Форте Беременным
Исмиген Апрель Аптека
Аккумуляторы Сильвер Кальциум
Джес Месячные Не Приходят
Уколы Сосудорасширяющие Мексидол
Коэнзим Q10 Норма В Сутки Для Женщин
Долобене Мазь Цена Аналоги Дешевле
Каметон Аэрозоль Фото
Бициллин Аналоги
Хондроитин Таблетки 500 Мг
Детралекс Цена В Балаково
Что Лучше Салофальк Или Месакол
Биолит Желудочный Сбор 2
Таблетки При Прорезывании Зубов Дентокинд Отзывы
Триган Д Таблетки 100 Шт
Сирдалуд При Шейной Грыже
Препарат Кальций Д 3 Никомед
Мифепристон На Ранних Сроках
Витамины Ультра Д 1000
Идринол Уколы Цена
Спирулина В Таблетках Для Лица
Кестин Под Язык 20 Мг
Аналог Эгипрес 5мг 5мг
Визарсин Для Чего Нужен
Основа Хитозана
























/Bekchanov%20.files/image002.jpg)
























.png)





















