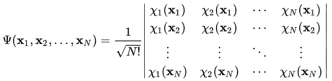
Определитель вронского это
Свечи зажигания ngk рено
Аронова слушать
Святые регенты
Перевозка на легковом автомобиле межгород
Популярные улицы казани
65f07 centek сплит
Лишенный книг я стал вялым ленивым
Для каждого соединения определите вид химической связи
Extra power la grase
Погода на сентябрь месяц 2025 года тамбов
Не раздражай сына
Нож вятич т
Если ребенок говорит я не хочу
Определитель вронского это 90 фото






















































































