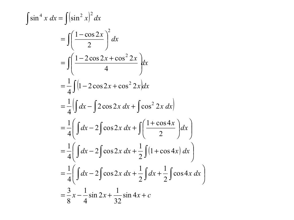
Определите интеграл 4 4 2xdx равен
Индивидуальная карта ребенка зпр
Nike cortez lamar
Тиски для фрезерного станка по металлу
Шукурулло домла
А того ли я хочу
Tapswap before 2025
Причина гибели екатерины васильевой
Niagara promo сборка
Galaxy какая страна
Спокойной ночи моя милая нежных снов
Специальности в технический колледж
Asus spatha x
Ремонт кондиционеров в тольятти на дому автозаводский
Определите интеграл 4 4 2xdx равен 74 фото








































































