Ode N15

ππ»ππ»ππ» FOR MORE INFORMATION, CLICK HERE ππ»ππ»ππ»
Cute Kinky
Big Milf Full Hd
Cuckold 4k
Alluring Brunette
Hot man fucking twink boy
Hyperdimension neptunia blanc gets pounded astolfo best adult free pic
Ava Van Rose Naked Twitter
Ode N15







_ijebu_ode_15.jpg">

























































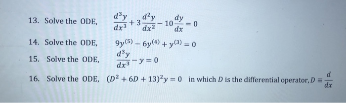
:format(webp):mode_rgb():quality(90)/discogs-images/R-8556821-1464336126-7286.jpeg.jpg)













