Оцінка результату і похибки прямих вимірювань

💣 👉🏻👉🏻👉🏻 ВСЯ ИНФОРМАЦИЯ ДОСТУПНА ЗДЕСЬ ЖМИТЕ 👈🏻👈🏻👈🏻
Оцінка результату і похибки прямих вимірювань
Реферат: Оцінка результату і похибки прямих вимірювань . . .
4 .3 . Оцінка результатів прямих вимірювань - Бібліотека . . .
PDF ФІЗИЧНІ ВИМІРЮВАННЯ І ОБРОБКА ЇХ РЕЗУЛЬТАТІВ
Оцінка випадкових похибок прямих вимірювань
Реферат: Основи теорії похибок вимірювань - Xreferat .com . . .
Оцінка похибок прямих та непрямих вимірювань | Статьи
Опрацювання результатів прямих вимірювань
Оцінювання і запис результатів одноразових непрямих вимірювань
Основні характеристики вимірювань, Похибки вимірювань . . .
Фгос Обществознание 6 Класс Контрольная Работа
Технология производства швейных изделий
Лабораторная Работа Номер Класс
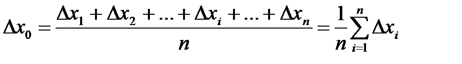
2 . Оцінка результату і похибки прямих вимірювань . Залежно від розв'язуваної задачі прямі вимірювання можуть проводитися з одноразовими і багаторазовими спостереженнями .
Темою даної роботи є прямі вимірювання, їхній результат та похибки . Дві головні особливості для прямих одноразових вимірювань . Як проводиться вибір методу вимірювання . Оцінка результату і похибки .
4 .3 . Оцінка результатів прямих вимірювань . Залежно від розв'язуваної задачі, прямі вимірювання можуть проводитися з одноразовими і багаторазовими спостереженнями . Прямі одноразові . . .
www .viti .edu .ua /files/other/pohibki .pdf
Похибки прямих вимірювань і їх класифікація Вимірювання здійснюються за допомогою вимірю- вальних приладів . Мета вимірювання - одержання точного
1 .Провести багаторазові вимірювання і отримати масив вимірювальної інформації . 2 .Ввести поправку в результати вимірювань, вилучивши відомі систематичні похибки .
Оцінка результату і похибки прямих вимірювань . Темою даної роботи є прямі вимірювання, їхній результат та похибки . Дві головні особливості для прямих одноразових вимірювань .
Непрямі вимірювання складаються із власне прямих вимірювань ФВ Х 1, Х 2 і Х n, які називаються вимірюваними аргументами, і розрахунків, коли знаходять шукану величину Z і параметри її . . .
Опрацювання результатів прямих вимірювань . . . . і оцінка його похибки . Похибку результату вимірювання характеризує величина, яку називають вибірковим середнім квадратичним відхиленням . . .
де Δu, Δi - абсолютні похибки прямих вимірювань напруги і струму, обчислені за класом точності вольтметра і амперметра, а запис результату непрямого вимірювання опору має такий вигляд:
Найбільш відома і проста оцінка цієї похибки - її максимальне можливе значення у вигляді половини ціни поділки шкали . За характером прояву поділяють грубі, систематичні, і випадкові похибки .
Купер Практик 14 Характеристики
Подарок Форма Вежливости И Уважения Реферат
Методические Рекомендации По Курсовому Обучению
Не Стоит Село Без Праведников Сочинение
Курсовая работа по теме Учет безналичных расчетов между субъектами хозяйствования Республики Беларусь и направления его совершенствования
Реферат: Технология деталей РЭС
Реферат Основы Баз Данных
Интересные Темы Для Медицинских Рефератов
Дипломная работа: Влияние стиля деятельности на выбор профессионального самоопределения
Курсовая работа: Жизнь и научное творчество классиков социологии на примере К. Маркса
Реферат: A Change Long Overdue Essay Research Paper
Курсовая работа по теме Функциональная роль лексической синонимии
Реферат по теме Методы мониторинга атмосферного воздуха
Эссе по теме Продюсер як суб’єкт мистецької сфери
Диагностика Вирусных Гепатитов В С Реферат
Реферат: Tempest Technology Essay Research Paper TEMPEST Technology
Дубровский Роман О Любви Сочинение В Сокращении
Реферат по теме Использование объектов интеллектуальной собственности в рекламе
Лабораторная работа: Получение нормативной информации по автоматизированной обработке налоговой информации из справо
Контрольная работа по теме Негативные последствия советско-афганской войны
Решение Практических Работ В Excel
Реферат На Тему Служебные Письма
Курсовая работа по теме Производственно-финансовая деятельность автотранспортного предприятия
Курсовая работа по теме Создание приемника команд RC5 для ПК
Дипломная работа по теме Возникновение и совершенствование органов предварительного следствия
Дневник к отчету по практике
Сочинение по теме Гавриил Романович Державин — "отец русских поэтов"
Курсовая работа по теме Внутренняя политика Владимира Мономаха
Курсовая работа по теме Менеджмент любительских объединений физкультурно-оздоровительной направленности
Реферат: Технологія створення цифрових карт місцевості (ЦКМ)
Реферат: Особенности эмоциональной сферы дошкольника. Скачать бесплатно и без регистрации
Реферат по теме Исторические типы общества
Страховые Пенсии По Инвалидности Дипломная Работа
Здоровый Образ Жизни Студента Реферат Кратко
My Native Village Сочинение С Переводом
Итоговое Сочинение Направления Фипи Список Литературы
Книга: Гражданское право том 2а ред. Суханова Е.А
Реферат по теме Начинающий трейдер: истоки заблуждений
Курсовая работа: Расчёт экономической эффективности. Скачать бесплатно и без регистрации
Реферат по теме Особенности трудовой деятельности младших школьников с интеллектуальной недостаточностью
Реферат На Тему Пища, Приготовленная Самой Природой
Курсовая Субъекты И Объекты Гражданских Правоотношений
Почему Важно Быть Самим Собой Сочинение
Курсовая работа: Проектирование механосборочного цеха
Реферат На Тему Операционная Система
Сочинение: Дуэли в произведениях Пушкина и Лермонтова сопоставительный анализ эпизодов
Сочинение по теме Проблема охраны природы в литературе
Контрольная работа по теме Моделирование машины Тьюринга
Курсовая работа: География национальных религий. Религиозная обстановка в России и Пермском крае
Сочинение На Тему Человек Не Машина
Организация Грузовых И Пассажирских Перевозок Реферат
Контрольная работа по теме Дорожно-транспортное происшествие и специфические экспертизы
Реферат: Полномочия представительного органа
Погрешности Измерений В Метрологии Реферат
Примерная Тематика Рефератов Цифровая Трансформация
Реферат: Кто раскрутил Альбинони. Скачать бесплатно и без регистрации
Контрольная работа по теме Формирование эффективной структуры организации
Реферат: Оптимизация. Качество. Эффективность: параметры реформирования Вооруженных Сил России
Курсовая работа по теме Сертификационные требования к экологической безопасности топливных систем двигателей внутреннего сгорания автотранспортных средств
Дипломная работа по теме Разработка автоматизированной информационной системы по оформлению и учету историй болезней пациентов в больнице
Реферат: Молекулярная спектрометрия. Скачать бесплатно и без регистрации
Реферат: Проблемы привлечения иностранных инвестиций в Россию
Курсовая работа по теме Тестирование качества защиты программного продукта
Становление Истории Как Науки Реферат
Реферат: Ионометрия. Метод добавок
Реферат: Ступенчатая терапия: новый подход к применению антибактериальных препаратов
Доклад по теме Entombed
Реферат по теме Религия и её влияние на национальные и семейные традиции
Реферат: Радиоактивные изотопы и соединения
Реферат По Детской Психологии
Общая Характеристика Предприятия Ооо Отчет По Практике
Дипломная работа: Совершенствования операций с пластиковыми картами
Становление и развитие таможенной службы России
Доклад по теме Бринзоламид - новый ингибитор карбоангидразы
Отчет по практике по теме Решение проблемных задач на персональном компьютере
Дипломная работа по теме Формирование общественно-экономического уклада стран НИС
Война И Мир Декабрьское Сочинение Аргументы
Сочинение По Картине Рожь
Магистерская диссертация по теме Создание портала контроля знаний студентов для систем дистанционного обучения
Реферат: Modern Vs Premodern Essay Research Paper Modern
Курсовая работа: Неэмиссионые ценные бумаги
Договор Купли Продажи Курсовые Работы
Сочинение О Добре 6 Класс
Реферат: Сестринской карты стационарного больного
Контрольная работа: Методы научного познания. Научные революции в естествознании
Реферат: Комплексный план развития персонала организации
Реферат: Управленческий учет производственной деятельности 2
Эссе По Географии На Тему Россия
Эссе Сущность Искусственного Интеллекта
Реферат: Эйлер, Леонард
Дипломная работа по теме Ключевые слова в немецком политическом дискурсе
Дипломная Работа На Тему Проектирование Электропривода Тепловизионной Системы Сопровождения
Утро В Доме Простаковой Сочинение
Детство Какое Сочинение
Оценка Эффективности Работы Практического Психолога
Курсовая работа: Проектирование одноступенчатого редуктора
Курсовая работа по теме Расчет выработки молочной продукции
Реферат По Истории Международные Отношения
Rainbow 6 Контрольные Работы Pdf
Контрольная работа: Аналіз маркетингового середовища на базі ВАТ "Мотор Січ"
Оцінка результату і похибки прямих вимірювань
























































