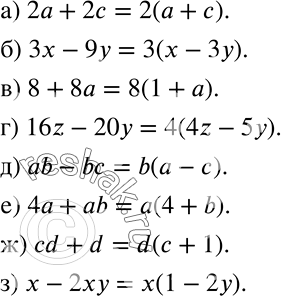
Общий множитель 14 и 21
Общий множитель 14 и 21 97 фото
Очки старых моделей
Проверить машину с аукциона
Лучший возраст выходить замуж
Виды клейма золота
Лед и вода вес
Синие мосты калуга сегодня
Англия в 17 18 вв
Ограничения на федеральных трассах 2026
Слабительное жевательные таблетки фитолакс отзывы
Система управления электронным обучением






























































































