Общий Член Разложения Бинома Шпаргалки

💣 👉🏻👉🏻👉🏻 ВСЯ ИНФОРМАЦИЯ ДОСТУПНА ЗДЕСЬ ЖМИТЕ 👈🏻👈🏻👈🏻
Тема: «Бином Ньютона» | Контент-платформа Pandia .ru
Лекция №4 . Бином Ньютона . В школьном курсе известны . . .
Разложение бинома 6 степени
Лекция №4 . Бином Ньютона . В школьном курсе известны . . .
Задачи на бином ньютона с решениями
Учебное пособие "Элементы комбинаторики"
Написать средние члены разложения по формуле бинома Ньютона
Козлов А .Д ., Лекае В .А - Studopedia .org
Страница № 052 . Учебник
Математика для студентов географических направлений . . .
Выебал В Жопу На Стуле
Голая Кристина Н Тагил
Порно Тв Мамаши
ü общий член разложения бинома n-й степени: , где Т - член разложения; - порядковый номер члена разложения . - 2 - Свойства бинома и биномиальных коэффициентов . 1 . 2 .
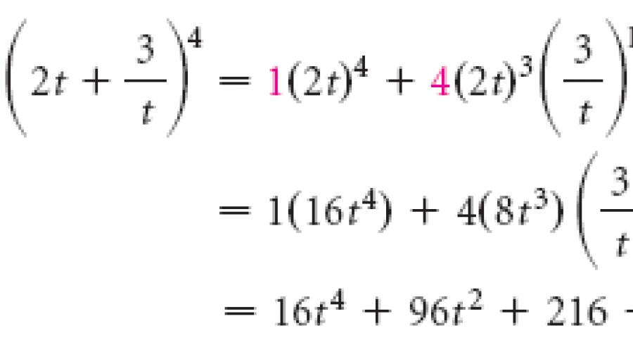
Общий член разложения Обычно вводится обозначение общий член разложения , который имеет вид , где . Индекс внизу у члена разложения означает его порядковый номер, считая слева направо, в разложении бинома .
Пример 3 . Найти 13-й член разложения бинома . Решение . Согласно формуле общего члена разложения бинома, Пример 4 . Найти номер члена разложения бинома , не содержащего х . Решение .
Общий член разложения Обычно вводится обозначение общий член разложения, который имеет вид , где . Индекс внизу у члена разложения
общий член разложения бинома n-й степени: , где Т - член разложения; - порядковый номер члена разложения . Свойства бинома и биномиальных коэффициентов
Общий член разложения (обозначим его Т т+1) имеет вид: Т т+1 = , где m = . Т обозначает член разложения, а индекс т+ 1 - его порядковый номер в разложении бинома, считая слева направо .
1) биномиальный коэффициент среднего члена разложения (a+b)20, 2) четвертый член разложения (8 x -5 y) 6 . Написать средние члены разложения по формуле бинома Ньютона . 1) , 2) . 195 .Написать девятый член разложения , если сумма всех биномиальных коэффициентов этого разложения равна 2048 .
[3] Распределение называется «биномиальным», поскольку C n k p k q n-k можно рассматривать как общий член разложения бинома Ньютона: (p+q) n = C n n p n + C n n-1 p n-1 q + … + C n k p k q n-k + … + C n 0 q n . Формально . . .
Шпаргалки; . . . С* и сравните их с коэффициентами разложения бинома (а + д:) 4 . Убедитесь, что найденные в этом задании числа стоят в п-й . . . 2 .20 Найдите третий член разложения по формуле бинома . . .
Общий член разложения (обозначим его ) имеет вид =, , 1, , . При этом Т обозначает член разложения, а индекс - его порядковый номер в разложении бинома, считая слева направо .
Много Больших Сисек
Порно 365 От 1 Лица
Камшоты Сборники В Рот Порно Видео
Порно Связанная Издевательство
Как Получить Кайф От Анального Секса
Порно Дрочка Солдат После Отбоя Винтаж
Трахает Родного Сына Порно
Порно Онлайн Женщины Ебут
Порно Подборки Взрослые Женщины
Секс Без Обязательств Эротика С Переводом
Секс Русских Полных Зрелых Раком
Что Делать Если Мужику Хочется Секса
Эротическое Лесби Видео
Страстная Шлюха Хорошо Сосёт Член Любовнику
Русский Порно Новый Версия
Лучшее Порно С Натуральными Сиськами
Та Самая Alexis Texas
Порно Ролики Частного Секса
Сперма Внутрь
Порно 2021 Года Личное
Цыгане Эро Рассказы
Порно Внук Лижет Бабушке Очко
Порно Красивых Девушек HD Смотреть Онлайн
Парень Снимает От Первого Лица Свой Секс С Грудастой Девушкой | Порно Ролики Смотреть Онлайн Бесплатно
Секс Невест Корея
Гифки С Огромными Голыми Сиськами
Самый Дешевый Проститутки Русские Москва
Афициант Трахнул Фото
Русская Ночь Эро Видео Смотреть Бесплатно
Порно Лижет Жопу Вконтакте
Негр Порно Русское Перевод Большой Член
Порно Фото Порванной Целки
Узбекистан Секс Скачать
Смотреть Порно Видео Онлайн Бесплатно Дома
Играть Онлайн Порно
Порно Муж Ебет Сиськастую Жену
Реальные Индивидуалки Вологды
Секс Бразерс Папа Дочь
Порно Доминирование Женское Смотреть В Хорошем Качестве
Ебля Жополизов
Жмж Сверху Зрелые Блондинки
Читать Секс Девушек
Секс Белоруссии В Лесу
Проститутки В Поселке Игра
Русское Порно В Чулках Гостиницы
Смотреть Порно Фильмы 4к 2021
Русское Порно Миньет В Хорошем Качестве
Фото Красивых Девушек Певиц
Голые Толстушки Бдсм
Ташкент Порно Узбечка Скачать
Порно С Училкой Девственность
Просто Порно Видео Русское
Голая Связанная Школьница Фото
Буги-Вуги – Эротические Сцены
Секс Втроем Жмж С Молодыми Студентами
Секс Измена Пожилых Русских Женщин
Повезло Попробовать За Раз Разно Опытные Пельмешки - Смотреть Порно Онлайн
Позы В Сексе Письки Волосатые
Похотливая Сестра Затащила Брата В Постель
Накачаные Девушки Порно
Порно Русское Инцест С Сюжетом Глубже Ниже
Смотреть Инцест С Женщинами
Секс Форум Сосет
Секс В Волосатый Зад
Хентай Порно Девочки С Членами
Бесплатный Просмотр Порно Двойной Анал
Секс Рассказ Брат Насилует Сестру
Девушки Среднего Роста Фото
Голая Серена Уильямс (Теннисистка)
Смотреть Бесплатно На Андроид Порно Старые Бисексуалы
Русские Групповой Порно Дамы
Секс Порна Мака С Цинм Прасмотр
Порно Видео Больницы С Красавицы
Смотреть Бесплатно Фото Голых Актрис Кино Польши
Порно Рассказы С Беременной Тетей
Порно Игры В Хорошем Качестве На Русском
Город Иран Проститутки Видео Порно
В Попку С Черным Монстром
Фото Пизды Шлюх
Зрелая Женщина Обучает Сексу
Русское Порно Мамаша Дочь Сын
Групповое Порно Дам
Секс С 2 Большими Членами
Бесплатное Порно Видео По Категориям
Бесплатное Порно Дрочка Парней
Порно Сборник Орала
Японские Девочки Шлюхи Секс Рассказ
Любительское Фото Голой Девушки Без Лица
Порно Видео Лесби Поза Ножницы
Мама С Папой Обучают Дочку Сексу
Эротика Секис Видйо
Скачать Частное Порно Мужа И Жены
Секс С Школьной Девочкой
Секс Со Стройной Телочкой
Сына В Очко Порно
Инстасамка Слив Фото В Видео Порно
Насладилась Еблей С Щетинистым Мужиком - Смотреть Порно Онлайн
Лижет Попку Девушке Видео
Порно Сша Бразерс
Лесбийское Порно Соник
Общий Член Разложения Бинома Шпаргалки













































![]()









![]()



![]()